簡介
L 空間是平方可積函式類,它更接近於n維歐氏空間,具有n維歐氏空間許多類似的幾何性質。
L2空間若E是R 內的可測集,而f(x)在E上可測且|f(x)| 在E上勒貝格可積,則稱f(x)在E上是平方可積的。所有這樣的函式之集稱為E上的L 空間,記為L (E)或L ,即
性質
L 空間的主要性質有:
1、L (E)是線性空間,其中零元素是E上幾乎處處為零的函式。
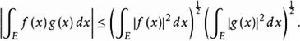
2、(施瓦茲不等式)若f(x),g(x)∈L (E),則f(x)g(x)∈L(E),且有
L2空間
L2空間3、(柯西不等式)若f(x),g(x)∈L (E),則
範數性質
L2空間對於f(x)∈L (E),令 ,||f||具有以下性質:
1、(非負性)||f||≥0,且||f||=0若且唯若f(x)=0幾乎處處收斂於E。
2、(正齊性)對任意實數α,有||αf||=|α|||f||。
3、(三角不等式)||f+g||≤||f||+||g||。
因此,||f||是L (E)上的一個範數。進一步,L (E)是希爾伯特空間。
