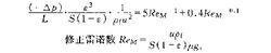
Kozeny-Carman方程為固定床高度甲:,:;。為流體流過固定床的平均流速 修正雷諾數h'r ,4r- (以空床截面積計算)}}}為壓力降.1'a; 5為顆粒的比外表 面積,為顆粒的外表面積5丁,與體積V,,之比;g為重力加速 度,gL一9.R1mIs=。為床層空隙率;f}為流體豁度,Ya"};a; 為流體密度,kg}n}'
適用於修正雷諾數<20 時。
Kozeny-Carman方程是計算滯流及湍流狀況下單相流體流過固定床壓力降的一種方程。
Kozeny-Carman方程為固定床高度甲:,:;。為流體流過固定床的平均流速 修正雷諾數h'r ,4r- (以空床截面積計算)}}}為壓力降.1'a; 5為顆粒的比外表 面積,為顆粒的外表面積5丁,與體積V,,之比;g為重力加速 度,gL一9.R1mIs=。為床層空隙率;f}為流體豁度,Ya"};a; 為流體密度,kg}n}'
適用於修正雷諾數<20 時。
