基本公式
Iwao m*-m
Iwao m*-m
Iwao m*-mN=(+-1) (公式一)
D:為允許誤差,常用範圍為0.1-0.3;
Iwao通過對大量種群空間分布型調查資料的分析, 發現種群的平均擁擠度(m*) 與平均數 (m ) 之間存線上性關係, 據此提出了檢驗種群空間分布型的 m*- m 回歸模型
Iwao m*-m
Iwao m*-mm*=+m (公式二)
Iwao m*-m
Iwao m*-m、:平均擁擠度(m*)與平均密度(m)回歸的截距和參數
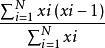
Iwao m*-mm*= (公式三)
xi:第i個樣方內的個體數,N:總樣方數(與公式一中N無關)
使用方法
Iwao m*-m確定樣地範圍後,調查待測種的平均密度,並通過回歸得出與的值。選取合適的誤差,計算出最適抽樣數。
