介紹
也稱HIS,在計算機上定量處理色彩時通常採用RGB表色系統,但在視覺上定性描述色彩時,採用IHS系統則更為直觀。IHS(Intensity,Hue, Saturation)分別表示亮度或強度(I)、色調(H)和飽和度(S),它們是從人眼中認識顏色的三個特徵。亮度是指人眼對光源或物體明亮程度的感覺,一般來說與物體的反射率成正比。色調,也稱色別,是指彩色的類別,是彩色彼此相互區分的特徵。飽和度是指彩色的純潔性,一般來說顏色越鮮艷飽和度也越大。IHS定義的彩色空間如圖。明度I沿著軸線從底部的黑變到頂部的白。色度H由圓柱底面圓的角度表示。假定0°為紅色,120°為綠色,240°為藍色,則色度0°到240°覆蓋了所有可見光譜的彩色。飽和度S是色度環的原點(圓心)到彩色點的半徑的長度。圓心的飽和度為零,圓周上的飽和度為I。
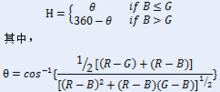
為實現RGB到IHS的變換,要建立RGB空間和IHS空間的關係模型。常見的轉換主要有球體彩色變換、圓柱體彩色變換、三角形彩色變換和單六角錐彩色變換4種。IHS算法是圖像融合技術中發展很早,現已成熟的一種空間變換算法。通過試驗結果分析,球體變換和三角變換是比較理想的IHS變換形式。從計算量上又淘汰了球體變換,三角變換成為最理想的形式。三角變換的IHS算法可以很好的保留源圖像的光譜信息和空間解析度,運算量也較小,且易於實現。
1、 球體變換公式:
球體變換公式 令 M=max(R,G,B) m=min(R,G,B)其中r g b至少有一個為0或1,則有:
(1)明度I=(M+m)/2
(2)飽和度
當M=m時,S=0
當M≠m時,I≤0.5,則S=(M-m)/(M+m)
當M≠m時,I>0.5,則S=(M-m)/(2-M-m)
(3)色度
當S=0時,H=0;
當S≠0,R=M,則H=60(2+b-g),這時色度位於黃和品紅之間;
當S≠0,G=M,則H=60(4+r-b),這時色度位於青和黃色之間;
當S≠0,B=M,則H=60(6+g-r),這時色度位於品紅和青之間;
2、三角變換公式:
(1)明度
I=(R+G+B)/3
(2)飽和度
S=1-min{R+B+G}/I
IHS (3)色度
寓意
IHS:耶穌的名字在拉丁文中的縮寫形式。
簡介
IHS 是全球具有領先地位的關鍵信息、產品、解決方案和服務供應商,客戶遍布全球 100 多個國家和地區,為六大核心行業中的政府機構與公司企業服務。我們致力於提供完備的信息解決方案,以提高客戶效率、增強客戶競爭優勢,並在產品開發生命周期中的各個階段為客戶提供決策支持。我們的信息工具可以幫助用戶快速、及時地獲取大量相關信息和知識套用工具。訂閱服務是公司的主要收入來源。IHS 公司擁有業內最全面的資料庫,同時還採用了獨有的流程與技術,能夠有效收集、管理和交付大量的信息資源。
公司分為兩大運營部門―能源與工程:
IHS 能源部門為石油和天然氣行業提供全面的資訊服務,從油井和生產數據到經濟及諮詢產品與服務無所不包。無論是評估有關地質、技術和開採潛力等底層問題,還是考慮各種政治、金融以及環境風險可能造成的經濟影響,IHS 能源部門的服務和解決方案均可為石油和天然氣領域的專業人員提供必要支持。IHS 可為客戶提供豐富信息,幫助客戶快速做出明智決策,同時更好地控制和認識與石油、天然氣勘探和開採相關的一系列風險。IHS 擁有 17 個技術團隊,可提供 42 種語言的服務,業務範圍覆蓋全球 90 多個國家和地區的石油行業。
IHS 的工程部門為超過 100 個國家和地區的客戶開發並實施工程、技術以及監管信息解決方案。我們的解決方案包括通過定製解決方案提供的網際網路訂閱服務,如通過 IHS 企業解決方案提供的數據轉換、信息門戶與系統集成服務,CD光碟和通過 IHS 全球工程文檔提供的印刷文檔。工程部門主要為以下行業提供解決方案:汽車、航空/航天、建築、能源、政府/國防部門、電子/電信、石化以及公用事業。IHS 已獲得 ISO 9001 認證。
至今,IHS 的子公司和分銷商遍布世界各地,構成了一個享有盛譽的銷售與服務網路。公司全球員工總數超過 2,500 人。
關於 IHS 亞太區
1996 年,IHS 在中國香港特別行政區成立子公司,致力於向中國市場提供源自全球逾 370 家標準開發組織 (SDO) 的關鍵技術信息、決策支持工具和相關服務。鑒於中國市場業務的不斷發展和巨大潛力,IHS 很快又在北京、上海和深圳三地建立了一個銷售團隊網路,以保持公司作為關鍵技術信息領先提供應商的地位。
2004 年,IHS 亞太區子公司在香港成立,並將香港作為地區總部。該公司致力於為本地區的員工和客戶提供銷售、培訓以及支持設施。為提高銷售與服務能力,展現長期致力於亞太地區發展的決心,IHS 公司對新建成的總部投入了大量資源和資金。
為更好地服務亞太地區客戶,IHS 亞太區子公司先後在澳大利亞、中國、中國香港特別行政區、印度以及日本等地設立銷售辦事處,同時分銷商更是編輯遍及亞太各個國家和地區,其中包括孟加拉國、印度、印度尼西亞、韓國、馬來西亞、菲律賓、新加坡、斯里蘭卡、中國台灣、泰國以及越南等。
IHS-IBM HTTP SERVER
基於 Apache 的 IBM HTTP Server 是基於 Apache Group開發的 Apache Web 伺服器的 Web 伺服器。IBM HTTP Server 包括一些在 Apache Group 開發的 Apache Web伺服器沒有的功能。IBM Http Server擴展了Apache 的功能,使其能夠使用 IBM 快速回響高速快取加速器。
Indian Health Service
印度衛生服務(Indian Health Service)的縮寫

