推導過程
1980年第一次提出Hoek-Brown強度準則
Hoek-Brown 強度準則最初公式主要用於用節理岩體中,並需要根據莫爾圓包絡線 來確定參數。具體公式如下 :
Hoek-Brown 強度準則上式中,
Hoek-Brown 強度準則為岩石破裂時的最大主應力和最小主應力;
Hoek-Brown 強度準則為岩樣的單軸抗壓強度;
Hoek-Brown 強度準則岩體抗拉強度;
m和s為材料常數,m反映岩石的軟硬程度,取值範圍0~25,理想完整堅硬岩體取25;s表示岩體破碎程度,取值0~1,其中0是極破碎岩體,1 是理想完整岩石;
Hoek-Brown 強度準則分別表示有效的正應力和切應力。
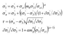
1983年第一次改進的Hoek-Brown強度準則
Hoek改進了常數m和s,引入了地下水分級(固定取值10)和節理方位分類的概念。公式在各向異性節理岩體中結合摩爾包絡線,如下 :
Hoek-Brown 強度準則上式中,
1988年改進的Hoek-Brown強度準則
Hoek和Brown加入了擾動和非擾動岩體的概念,並在1989年的RMR公式中,把地下水分級的值修改為15。具體公式如下:
對於擾動岩體來說,
Hoek-Brown 強度準則對與非擾動岩體來說,
Hoek-Brown 強度準則
Hoek-Brown 強度準則是跟岩石破碎程度有關的常數,前者破碎程度比後者要嚴重。
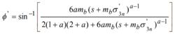
1992年改進的Hoek-Brown強度準則
Hoek,Wood和Shah等引進了材料參數a,考慮了節理岩體的抗拉強度為0的情況,並套用了Balmer的理論計算應力對數目,公式如下 :
Hoek-Brown 強度準則1994年和1995年改進的Hoek-Brown強度準則
改進並提出了Hoek-Brown強度準則的一般形式,如下 :
Hoek-Brown 強度準則考慮岩體是否擾動的情況下,引進GSI參數,把岩體分為一般~好(GSI>25)和很差~差(GSI<25),其公式如下:
當GSI>25時,
Hoek-Brown 強度準則
Hoek-Brown 強度準則當GSI<25時,
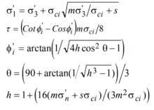
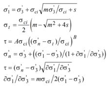
Hoek-Brown 強度準則2002年改進的Hoek-Brown強度準則
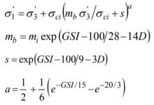
Hoek和Carranza-Torres及Corkum改進了Hoek-Brown強度準則,引入了 GSI,mb,s和 a之間的關係,還引入了擾動係數D,用於表示應力釋放和爆炸破壞等對岩體的擾動作用。並且在研究隧道和邊坡時,引入了摩爾庫倫準則中的參數內聚力C和內摩擦角φ 。
公式如下:
Hoek-Brown 強度準則
Hoek-Brown 強度準則
Hoek-Brown 強度準則
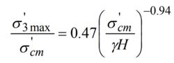
Hoek-Brown 強度準則當針對隧道等地下硐室時,
Hoek-Brown 強度準則式中,H為硐室埋藏深度,γ為容重。
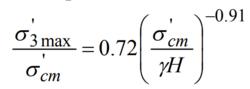
當針對邊坡等露天採礦時,
Hoek-Brown 強度準則式中,H為邊坡高度,γ為容重。
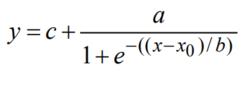
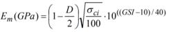
2006年,改進的Hoek-Brown強度準則
Hoek和Diederichs等針對中國地區的岩土工程現狀,新的岩體變形模量Em和GSI值被引入,同時引入了Sigmoid函式,公式如下 ,
Hoek-Brown 強度準則下述簡單公式裡面的GSI和參數D,一般在岩體信息及其缺乏的適合,才使用。
Hoek-Brown 強度準則推薦使用下述綜合公式:
Hoek-Brown 強度準則同時,在無實驗室岩石力學數據時,給出了評估岩體變形模量的公式,同時給出了換算係數MR。具體公式如下,
Hoek-Brown 強度準則發展簡史
Hoek-Brown強度準則最初只是一個推導公式,從1936年的混凝土強度理論推導而來 。
1980年,E. Hoek 和 E.T. Brown準備出版專著 《岩石地下開挖理論與實踐》(Underground Excavations in Rock),該書需要一個地下開挖岩體的破裂準則公式,而在當時並沒有合適的理論來估算岩體強度。於是兩人根據1936年提出的混凝土強度準則,推導了一個無尺寸限制、可套用於工程地質學的公式。
這個公式真正向著強度準則方向邁進是Hoek 和 Brown準備把公式推廣到工程實踐和現場套用中。當時,Bieniawski於1974年完善的岩體質量指標(RMR)理論是主流岩石工程理論,Hoek-Brown強度準則參數選取主要向該公式靠攏。
隨著岩石工程的發展, RMR理論在破碎岩體或者複雜岩體中表現越來越乏力,新理論亟待產生。於是到了1995年,Hoek等人提出了地質強度指標理論(GSI),並為Hoek-Brown強度準則提供計算參數。
套用領域
主要套用於地下採礦,深部空間開挖與支護,露天採礦及邊坡穩定性,隧道工程等行業領域 。
