基本定義
全球變暖潛能值表示這些氣體在不同時間內在大氣中保持綜合影響及其吸收外逸熱紅外輻射的相對作用。《京都議定書》正是基於100年以上的時間跨度內脈動排放的全球變暖潛能值。
GWP是一種物質產生溫室效應的一個指數。GWP是在100年的時間框架內,各種溫室氣體的溫室效應對應於相同效應的二氧化碳的質量。二氧化碳被作為參照氣體,是因為其對全球變暖的影響最大。
影響因素
化學物質的全球暖化潛勢和以下因素有關:
•化學物質對於紅外線的其吸收能力。
•其吸收光譜波長的範圍。
•化學物質在大氣中的壽命。
若化學物質的全球暖化潛勢很高,表示其對紅外線的吸收能力很強,且在大氣中的壽命也很長。至於全球暖化潛勢和吸收光譜波長的關係比較複雜,即使一氣體在特定波長吸收紅外線輻射的效果很好,但該波長範圍的紅外線輻射已被大氣所吸收,氣體本身的全球暖化潛勢也不會很高。若一氣體吸收紅外線輻射的波長範圍恰好是大氣所吸收的波長範圍外,其全球暖化潛勢就會比較高。全球暖化潛勢和波長之間的函式關係已經用實驗的方式求得,而且也已有圖表可查閱。
溫室氣體的全球暖化潛勢和其紅外線光譜有關,可以利用紅外吸收光譜法研究溫室氣體,來了解人類活動對全球氣候變化的影響。
計算
輻射效應提供了一種簡化的方式來在許多可能影響氣候的因素之間互相比較,而全球暖化潛勢也是一種有關輻射特性的簡化指標,可以用來估測及比較許多不同氣體的排放對氣候系統的潛在影響。全球暖化潛勢和許多因素有關,包括各種氣體相對二氧化碳的輻射效率、氣體的濃度及氣體相對於二氧化碳,在大氣中的衰減。
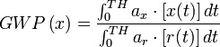
GWP[全球變暖潛能值]政府間氣候變化專門委員會(IPCC)計算全球暖化潛勢的數值,此數值是普遍被接受的數值,在1996年至2001年之間有輕微的變動。在IPCC第三次評估報告中有定義GWP的計算方式。一化學物質的全球暖化潛勢定義為從開始釋放一公斤該物質起,一段時間內輻射效應的對時間積分,相對於同條件下釋放一公斤參考氣體(二氧化碳)對應時間積分的比值:
其中TH是計算時的評估期間長度;a是一公斤氣體的輻射效率(單位為Wm kg );x(t)則是在一公斤氣體在t=0時間釋放到大氣後,隨時間衰減之後的比例。分子是待測化學物質的積分量,分母則是二氧化碳的積分量。隨著時間變化,輻射效率a及a可能不是常數。許多溫室氣體吸收紅外線輻射的量和其濃度成正比,但有些重要的溫室氣體(如二氧化碳、甲烷、一氧化二氮)目前的紅外線吸收量和其濃度成非線性的關係,而且未來也可能仍然是非線性關係。
由於全球暖化潛勢是以二氧化碳的的數據為基準,且二氧化碳紅外線吸收量和其濃度成非線性的關係,因此此非線性關係會影響所有氣體的全球暖化潛勢。若不考慮二氧化碳非線性的調整,會低估其他溫室氣體的全球暖化潛勢。
全球暖化潛勢和氣體在大氣中衰減的速率有關,這方面的資料多半無法得到準確的數值,其數值不能視為精確無誤。因此在引述全球暖化潛勢的資料時時需標註其數據的來源。
混合氣體的全球暖化潛勢不易計算,其數據無法用單純將成分氣體的全球暖化潛勢加權後產生。
基本價值
儘管衡量溫室氣體作用強弱的評分方法有許多,但GWP值無疑是最具參考價值的,特別是作為政策措施的依據。GWP從分子角度評價溫室氣體,包括分子吸收與保持熱量的能力,以及能在自然環境中存在多久而不被破壞或分解(atmospheric lifetime,大氣存留時間)。如此這般,就能評價每種溫室氣體對溫室效應的影響比重。
GWP同樣能夠評價溫室氣體在未來一定時間的破壞能力,通常以20年,100年,500年來衡量。通常,由於自然的分解破壞機制,已有溫室氣體在大氣中的濃度是逐年降低的,並且溫室效應能力也一併減弱。然而某些CFC家族氣體,大氣存留時間相當長,並且有可能100年GWP值高於20年GWP。
按照慣例,以二氧化碳的GWP值為1,其餘氣體與二氧化碳的比值作為該氣體GWP值。其餘溫室氣體的GWP值一般遠大於二氧化碳,但由於它們在空氣中含量少,我們仍然認為二氧化碳是溫室效應的罪魁禍首,溫室效應60%由其引發。
| 特定的時間跨度的全球變暖潛能值(GWP) | |||
| 氣體名稱 | 20年 | 100年 | 500年 |
| 二氧化碳 | 1 | 1 | 1 |
| 甲烷 | 72 | 25 | 7.6 |
| 一氧化氮 | 275 | 296 | 156 |
| 一氧化二氮 | 289 | 298 | 153 |
| 二氯二氟甲烷 | 11000 | 10900 | 5200 |
| 二氟一氯甲烷 | 5160 | 1810 | 549 |
| 氧化亞氮 | 275 | 310 | 256 |
| 六氟化硫 | 16300 | 22800 | 32600 |
| 三氟甲烷 | 9400 | 12000 | 10000 |
| 四氟乙烷 | 3300 | 1300 | 400 |
![GWP[全球變暖潛能值] GWP[全球變暖潛能值]](/img/9/c6f/nBnauM3X3MDM4MDNxQDN2IzNzMTMzEDM3gTOzMTNwAzMxAzL0QzLzgzLt92YucmbvRWdo5Cd0FmLyE2LvoDc0RHa.jpg)
