Ergun方程
Ergun方程
Ergun方程其中 和 定義為:
Ergun方程
Ergun方程
Ergun方程
Ergun方程
Ergun方程
Ergun方程
Ergun方程
Ergun方程
Ergun方程
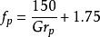
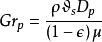
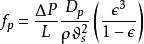
Ergun方程其中:
是修正的雷諾數,是透過床層的壓降,
是床層厚度,
是填料當量球直徑,
是流體密度,
是流體動力粘度,
是流體表觀速度,
是填料空隙率。
Ergun方程,由土耳其化學工程師Sabri Ergun於1952推導得到,表達為在填料塔中摩擦因子是雷諾數(修正後的)的函式。
Ergun方程
Ergun方程
Ergun方程其中 和 定義為:
Ergun方程
Ergun方程
Ergun方程
Ergun方程
Ergun方程
Ergun方程
Ergun方程
Ergun方程
Ergun方程
Ergun方程其中:
是修正的雷諾數,Ergun方程,由土耳其化學工程師Sabri Ergun於1952推導得到,表達為在填料塔中摩擦因子是雷諾數(修正後的)的函式。
有效直徑計算方法由Ergun方程可以看出,顆粒的有效直徑d是流動壓降計算...實驗床在不同流速下的壓降梯度。為便於對比 ,也給出了Ergun方程基於4種...測量壓降梯度與Ergun方程基於不同平均直徑預測計算結果。為進一步驗證多孔...
多尺寸顆粒堆積多孔介質床有效直徑 膜片有效直徑的計算及影響因素分析冶煉簡介coke ratio,coke expense ratio高爐煉鐵的技術經濟指標之一。即高爐每冶煉一噸合格生鐵所耗用焦炭...
聯合計算 分布影響設計高爐,礦石用量可由鐵平衡方程先行求出。 考慮到人們的習慣以及易與某些...消耗,又要滿足還原劑消耗所需碳量的兩個方程,聯立求解。 [1]分布影響...高爐塊狀帶透氣性的影響可用Ergun公式進行分析。 根據Ergun 公式...
聯合計算 分布影響