恆星
ET[有效溫度的英文縮寫]
ET[有效溫度的英文縮寫]
ET[有效溫度的英文縮寫]
ET[有效溫度的英文縮寫]有效溫度是恆星依據斯蒂凡-玻爾茲曼定律 ,對應於每單位表面積( )輻射出相同亮度的黑體所呈現的溫度。要注意恆星的總(熱)光度是 ,此處 是恆星的半徑。恆星半徑很明顯是由定義得到,而非直接觀測到的。更嚴謹的說,有效溫度是由羅斯蘭德的光深度所定義的半徑處的溫度。有效溫度和總光度是將恆星置入赫羅圖所必需要的兩個基本物理量,而有效溫度和總光度實際上取決於恆星的化學成分。
我們的太陽,有效溫度是5780K。實際上恆星的溫度是由核心向大氣層逐漸降低的,太陽的核心溫度-太陽中心進行核聚變區域的溫度-大約是15,000,000K。
恆星的色指數顯示從非常低溫-以恆星的標準而言-的恆星輻射是以紅外線為主的紅色M型恆星到輻射出大量紫外線的藍色高溫恆星,有效溫度能顯示出每顆恆星的單位面積輻射出來的熱能。從最溫暖的到最低溫的表面依序是O、B、A、F、G、K、和M,也就是所知道的恆星分類。
一顆紅色的恆星可能是微小的紅矮星,表面積小並只能發出微弱的能量,或是膨脹的巨星甚至是超巨星,像是心宿二(心大星)或參宿四,雖然兩者的單位面積輻射的能量都很低,但因為有巨大的表面積而能放出巨大的能量。光譜類型在中間的恆星,像是大小適中的太陽或是巨星的五車二,單位面積雖然能輻射出比紅矮星或膨脹的超巨星多的能量,但是仍然比白色或藍色的織女星或參宿七要少。
行星
行星
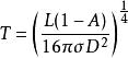
行星的有效溫度可以經由計算吸收的能量和以黑體輻射能量所對應的溫度T。
在這種情況下,變數是恆星的距離D和發光度L。
假設恆星的輻射是各向同性而且行星的距離夠遠,行星所吸收的能量與行星圓盤的半徑r,在恆星延伸到距離為D的半徑上所能攔截到的能量。我們也允許行星反射一些入射的能量,並將之合併為一個稱為反照率的參數。反照率為1意味著所有的輻射都被反射掉,反照率為0則表示全部都被吸收。吸收的能力被表示如下式:
ET[有效溫度的英文縮寫]接下來,我們要假設整個行星有著相同的溫度T,並且行星的輻射是黑體輻射。行星輻射能量的型式可以表示為:
ET[有效溫度的英文縮寫]這兩個方程式是相等的,經過重新整理之後,可以得到有效溫度的表示為:
ET[有效溫度的英文縮寫]注意,在最後的方程式中,行星的半徑已經不存在了。
木星的有效溫度是112K,飛馬座51b是1258K。但實際的溫度與反照率、大氣層和內熱有關,從光譜分析得到HD 209458 b的實際溫度是1130K,而黑體的溫度是1359K。木星的內熱則使實際的溫度上升了40至152K。
![ET[有效溫度的英文縮寫] ET[有效溫度的英文縮寫]](/img/b/9ef/nBnauM3X2AjM0cTO2EjN3MDO1UTM1QDN5MjM5ADMwAjMwUzLxYzLzMzLt92YucmbvRWdo5Cd0FmLyE2LvoDc0RHa.jpg)
