計算公式
其公式為:
EMA=α * Price+ ( 1 - α ) * EMA
其中,α為平滑指數,一般取作2/(N+1)。在計算MACD指標時,EMA計算中的N一般選取12和26天,因此α相應為2/13和2/27。
當公式不斷遞歸,直至EMA出現,EMA是沒有定義的。EMA 的取值有幾種不同的方法,通常情況下取EMA為Price另外有的技術是將EMA取值為開頭4到5個數值的均值。
在計算機遞推計算時,可以寫作:
EMA=α * ( Price- EMA) + EMA
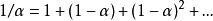
將EMA按照類似方法遞推展開,可以得到:
EMA[指數移動平均值]其中,p1表示今天價格,p2表示昨天價格,以此類推。
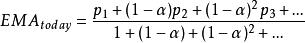
EMA[指數移動平均值]將平滑係數α 展開,由於,可以得到:
EMA[指數移動平均值]從該式中可以更清楚地看出EMA加權平均的特性。在EMA指標中,每天價格的權重係數以指數等比形式縮小。時間越靠近當今時刻,它的權重越大,說明EMA函式對近期的價格加強了權重比,更能及時反映近期價格波動情況。所以EMA比MA更具參考價值,而EMA也不容易出現死叉和金叉,所以一旦出現要立即作出反映!對周線處理,EMA就更加穩定了。
![EMA[指數移動平均值] EMA[指數移動平均值]](/img/1/1ef/nBnauM3X3YjNxMTMwMTOxcTO1UTM1QDN5MjM5ADMwAjMwUzLzkzL1EzLt92YucmbvRWdo5Cd0FmLwE2LvoDc0RHa.jpg)
