概念
Drell-Yan過程產生於高能強子散射。當一個強子中的夸克與另一個強子中的反夸克湮滅,產生一個虛光子或者Z玻色子,之後衰變到一對帶有相反電荷的輕子。這個過程最早在1970年由Sidney Drell和Tung-Mow Yan提出用來描述高能強子碰撞中的輕子-反輕子對反應。實驗上,最早由J.H. Christenson等在交變梯度同步加速器實驗中的質子-鈾碰撞中觀測到。
基本原理
Drell-Yan過程
Drell-Yan過程
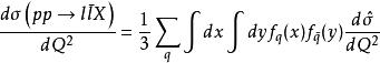
Drell-Yan過程圖1給出了強子碰撞中輕子對產生截面的量級貢獻,不過它只是對圖2的最低階過程的修正。圖2的過程稱為Drell-Yan過程,它與湮滅、輕子的深度非彈性散射誘導的強子產生一樣,對於確定結構函式、檢驗部分子模型及其QCD修正都有重要的意義。
圖1
圖2為計算對應於圖2的截面,我們由它的部分子子過程入手,
Drell-Yan過程
Drell-Yan過程再將上式嵌入強子過程。設輕子對的不變質量為,即有
Drell-Yan過程
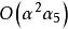
Drell-Yan過程則過程的微分截面為
Drell-Yan過程運用深度非彈性散射時熟悉的結構函式技巧可以得到強子截面,
Drell-Yan過程
Drell-Yan過程
Drell-Yan過程
Drell-Yan過程
Drell-Yan過程
Drell-Yan過程
Drell-Yan過程
Drell-Yan過程
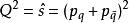
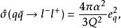
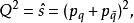
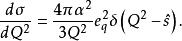
Drell-Yan過程其中對於碰撞質子組分的可能形成的所有對求和。由於和必須湮滅為無色的虛光子,式中只有一個色因子3。和帶有質子動量的份額分別為和,於是式子應寫為
Drell-Yan過程
Drell-Yan過程其中為碰撞質子的質心繫能量的平方。由上面三個式子,有
Drell-Yan過程
Drell-Yan過程
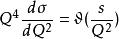
Drell-Yan過程在最低階,沒有膠子輻射,可以預期有標度性的結果。儘管截面是碰撞能量和輕子對不變質量的函式,但是
Drell-Yan過程
Drell-Yan過程只是比值的函式。
圖3
Drell-Yan過程
Drell-Yan過程
Drell-Yan過程
Drell-Yan過程圖3表明,實驗數據與這一標度律符合得相當好。在實際計算中,式子中的和描述具有特色的夸克,因而是在深度非彈性散射的測量中對應量的,這一點很重要。

