基本內容
二乙烯三胺五甲叉膦酸
別名:二乙烯三胺五亞甲基膦酸;DTPMP
CAS No. 15827-60-8
分子式 C9H28O15N3P5
相對分子質量:573.2
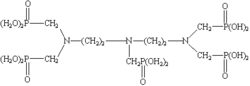
結構式
DTPMPA產品性能
DTPMPA無毒,易溶於酸性溶液中,阻垢緩蝕效果俱佳且耐溫性好,可抑制碳酸鹽、硫酸鹽垢的生成,在鹼性環境和高溫下(210℃以上)阻垢緩蝕性能較其它有機膦好。
DTPMPa具有很高的溶解度,在pH=10~11時阻垢能力明顯優於ATMP、HEDP,阻垢能力是ATMP、HEDP的2~3倍,對硫酸鋇有良好的阻垢效果。
本品主要用於循環冷卻水和鍋爐水中作優良的緩蝕阻垢劑。特別是用在“高硬、高鹼、高PH”的三高水質處理。對碳酸鋇、硫酸鋇等油田處理以及電廠沖灰水系統,有很好的緩蝕阻垢效果。
質量指標
DTPMPa質量指標
| 指標名稱 | DTPMP |
| 活性組分(以DTPMP計)含量% | ≥50.0 |
| 亞磷酸(以PO33-計)含量% | ≤5.0 |
| PH(1%水溶液) | ≤2.0 |
| 密度(20℃)g/cm3 | 1.35-1.45 |
| 鈣螯合值mgCaCO3/g | ≥450 |
| 氯化物(以Cl-計)含量% | 12-17 |
套用範圍與使用方法
DTPMPA在水處理中用作循環冷卻水和鍋爐水的 阻垢緩蝕劑,特別適用於鹼性循環冷卻水中作為不調pH的阻垢緩蝕劑,並可用於含碳酸鋇高的油田注水和冷卻水、鍋爐水的阻垢緩蝕劑;在復配藥劑中單獨使用本品,無需投加分散劑,污垢沉積量仍很小。
DTPMPA也可用作過氧化物穩定劑、紡織印染用 螯合劑、顏料的 分散劑、氧脫木素穩定劑、化肥中微量元素攜帶劑、混凝土添加劑。此外,在造紙、電鍍、金屬酸洗和化妝品等方面也得到了廣泛套用。還可作氧化性 殺菌劑的穩定劑。
包裝與貯存
DTPMPA用塑膠桶包裝,每桶30kg或根據用戶需要確定。貯於室內陰涼處,貯存期為十個月。
安全防護
DTPMPA為酸性,應避免與眼睛、皮膚接觸,一旦濺到身上,應立即用大量水沖洗。

