它將以離散時間信號X(n) 變換到連續的頻域,值得注意的是這一頻譜是周期的,且周期為2π。
原信號如果是非周期函式,DTFT變換後是連續函式;
原信號如果是周期函式,DTFT變換後是離散函式。
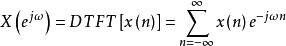
DTFTDTFT表達式為

DTFT,離散時間傅立葉變換(DTFT,Discrete-time Fourier Transform),是傅立葉變換的一種。也可以叫做序列的傅立葉變換
它將以離散時間信號X(n) 變換到連續的頻域,值得注意的是這一頻譜是周期的,且周期為2π。
原信號如果是非周期函式,DTFT變換後是連續函式;
原信號如果是周期函式,DTFT變換後是離散函式。
DTFTDTFT表達式為
