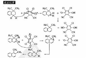
反應機理
反應機理反應舉例
反應舉例DDQ
為亮黃色至橙黃色結晶性粉末、微臭、在苯中為黑色發亮結晶,能溶於苯、二氧六環、乙酸、微溶於氯仿、二氯甲烷,遇水迅速分解,把粉末露於85以上相對濕度空氣中,局部很快變黑後分解。熔點215-217℃。
對空氣具有一定穩定性,但是與水接觸會放出HCN,必須在惰性氣體保護下的無水環境中操作使用。
將2,3-二氰基氫醌和鹽酸攪成漿狀物,在35℃左右慢慢加入70%硝酸、繼續攪拌反應1h。過濾,用四氯化碳洗滌,乾燥,得DDQ,產率90%。
合成甾族化合物的氧化劑,用於計畫生育用藥氯地孕酮、三烯高諾酮的生產。
用作醫藥中間體,專門作為甾體類激素化合物的脫氫劑。
是一種優良的脫氫試劑,主要用於甾體激素類藥物合成與一些高級香料合成中脫氫。

