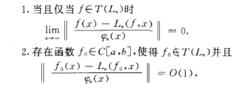
C[a,b]中的飽和性C[a,b]中的飽和性(saturation in C[a,b})閉區間上連續函式空間中線性運算元逼近的一個屬性.設{L。}幾1是C[a,川到C[c,d]的線性運算元序列,[a ,川C[c,d}.如果存在在[c,d]上一致收斂於零且在((c,d)中是正的函式序列{}n }.x} }n}--7以及函式類T}}n)使得:
則稱{In}00,在[c,d]上是飽和的.常稱{侶(二)}為{ L., } .0,0-,的飽和階,T (L)與S(I)分別為{L., } 0-,的平凡類與飽和類,這裡S (L})是符合上述條件2的函式的全體.而條件1和2中範數}}·{}一般是指}c,d]中的上確界,而當抓x)在區間口,d]的端點處的值為零時,則理解為開區間(c,d)中的上確界.
