簡介
BET 理論是由史蒂芬·布魯諾爾(Stephen Brunauer)、保羅·休·艾米特(Paul Hugh Emmett)和愛德華·泰勒(Edward Teller)在1938年提出的解釋氣體分子在固體表面吸附現象的理論,以他們發表在美國化學會志上的一篇論文為其建立的標誌。 該理論是對固體表面進行分析研究的重要理論基礎。
基本關係式
BET 理論在朗繆爾理論的單分子吸附模型的基礎上,基於以下三個假設拓展到多層吸附的情況:
氣體分子可以在固體上吸附無數多層;
吸附的各層之間沒有相互作用;
朗繆爾吸附理論對每一單分子層成立。
1.氣體分子可以在固體上吸附無數多層;
2.吸附的各層之間沒有相互作用;
3.朗繆爾吸附理論對每一單分子層成立。
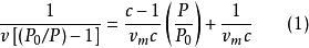
由此得出的 BET 吸附等溫式如下:
BET理論
BET理論式中, 分別為平衡壓強、飽和蒸氣壓、平衡氣體吸附量、單層飽和吸附量,c稱為 BET 常數,由下式給出。
BET理論
bet圖
BET理論
BET理論其中 是第一層的吸附熱, 為其餘各層的單層吸附熱,數值上等於氣體的液化焓。
BET理論
BET理論
BET理論根據 (1) 式,在溫度恆定的情況下,以對作圖應得一直線,該圖稱為 BET圖,實際上,只有在的範圍內,BET圖表現出較良好的線性。根據直線的斜率A 和截距 I 可以求出單層吸附量和 BET 常數,如下兩式所示。
BET理論套用
BET理論
BET理論BET 吸附等溫式廣泛用於求算固體材料的表面積。一種固體材料的總表面積與比表面S由下兩式給出,其中為以體積表示的單層飽和吸附量。
BET理論其中:
BET理論:亞佛加厥常數;
s: 吸附物種的吸附截面積;
V: 吸附物種的摩爾體積;
a: 吸附材料的質量。
實例
水泥漿
BET理論
BET理論用 BET 理論可以求算出硬化水泥漿的內表面積。在不同的環境濕度下測定達到平衡時水泥吸收的水蒸氣量,便可以得到 BET 圖。當水溫為97°C時,實驗得到 BET 圖的斜率為 24.20 克/克(水泥),截距為 0.33 克/克,由 (3)(4) 兩式得到,又水的吸附界面為0.114平方納米,於是由 (5)(6) 兩式可以得到,表示每克水泥硬化後內表面積為 156 平方米。
活性炭
BET理論活性炭是一種常見的強吸附劑。在液態氮的溫度下活性炭對氮氣(其吸附截面為 0.16 平方納米)的吸附實驗表明,活性炭的比表面積為。如此大的比表面積表明活性炭作為固體催化劑有著十分良好的催化性能。常見的無機固體催化劑如介孔氧化矽等也有著每克數百平方米的比表面。
參見
•吸附
•表面張力

