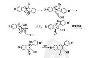
反應機理
一個可能的機理如下圖所示。氧原子上的孤對電子使溴離子離去,生成被氧原子穩定的碳正離子,然後氫氧根進攻,得到一個具有半縮酮結構的中間體。此中間體發生分子內E1cB反應,氫離子被奪去,接著氧負對不飽和酮進行麥可加成,新生成的烯醇負離子再將剩下的一個溴離子擠出去,得到最終產物。
反應機理反應舉例
反應舉例黃酮醇類
簡介
黃酮醇類(flavonols)是指含有2-苯基-3-羥基(或含氧取代)苯駢γ-吡喃酮(2-苯基-3-羥基-色原酮)類化合物,是各類黃酮化合物中數量最多、分布最廣泛的一類,已發現約有1700多種。其中最簡單的黃酮醇類化合物為7一羥基黃酮醇:唯一一個分子中含有氯原子取代黃酮醇類是chlorflavanin,具有抗真菌活性;含氧取代最多的黃酮醇是digicitrin。槲皮素(quercetin)則是植物界分布最廣、最常見的黃酮醇類化合物。
蘆丁(rutin)是最常見的黃酮醇苷化合物,6-C-β-D-葡萄糖槲皮素苷則是已發現的為數不多的黃酮醇碳苷之一。
黃酮和黃酮醇具有C2~C3雙鍵、C4有羰基、C環成環,黃酮,有羥基取代為黃酮醇,如黃芩苷(baicalin)、槲皮素蘆丁等。
積累過程
以葡萄為例,葡萄果實發育過程中,黃酮醇在果實中以兩種形式積累,即游離態和結合態。花後20天,游離態黃酮醇含量較高,隨後迅速降低,至花後60天,含量達最低值;花後60天后,開始迅速jI升,至花後70天,含量達最大值;隨後,略有所下降。結合態黃酮醇在花後20天含量最高,之後迅速下降,至緩慢成長期,含量降到最低並保持穩定;進入成熟期(花後80天),含量迅速上升,花後90天達到最高峰,之後逐漸下降並趨於穩定。
姜壽梅等研究表明,黃酮醇是西拉葡萄果皮中主要的非花色苷酚類,且槲皮素及其衍生物是主要的黃酮醇。進人轉色期後。果皮中黃酮醇類多酚迅速積累,轉色後2周含量達到最大值,隨後表現為含量下降。
營養
黃酮醇(一組植物色素)是果實和花的顏色來源。然而,黃酮醇具有比美學更多的功能。植物中,黃酮醇的作用是保護植物抵抗環境的各種刺激。人體中,黃酮醇的作用是對人體的生物反應起修飾作用。
黃酮醇可能調節機體對一些化合物的反應性,如過敏原、病毒、致癌物質。換言之,黃酮醇具有抗過敏、抗炎症和抗癌性能。最近的研究表明黃酮醇對許多疾病有治療作用,其中包括糖尿病。黃酮醇如櫟精,可以提高胰島素的分泌,並且可能是山梨醇堆積的有效抑制劑。這些作用可以解釋多種植物性藥物對糖尿病的療效。這些藥物一般富含黃酮醇。黃酮醇的營養作用包括提高細胞內維生素C的水平、降低小血管的滲漏和破損,從而預防皮膚青紫;黃酮醇還能提高機體的免疫系統功能。、所有這些作用都有益於糖尿病患者。糖尿病患者除了要吃富含黃酮醇的飲食外,還要補充額外的黃酮醇1~2克/日。
美國哈佛大學癌症研究中心的研究小組以183518人為對象,比較了他們攝取黃酮醇的量與罹患胰腺癌的關係。黃酮醇主要存在與洋蔥、蘋果、甘藍及花椰菜中。跟蹤研究表明,攝取黃酮醇最高的人群,胰腺癌的危險度比攝取低的人群降低23%。對吸菸者的防癌效果更為明顯,黃酮醇攝取高的人群罹患胰腺癌危險度能降低59%。

