氨基三甲叉膦酸
Amino Trimethylene Phosphonic Acid【CAS】6419-19-8 Dequest:2000
別名:氨基三亞甲基膦酸、次氨基三亞甲基膦酸、ATMPA、次氮基三亞甲基膦酸
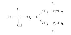
分子式 N(CH2PO3H2)3 相對分子質量:299.05
結構式
ATMP分子式 性能與用途:
ATMP具有良好的螯合、低限抑制及晶格畸變作用。可阻止水中成垢鹽類形成水垢,特別是碳酸鈣垢的形成。ATMP在水中化學性質穩定,不易水解。在水中濃度較高時,有良好的緩蝕效果。ATMP用於火力發電廠、煉油廠的循環冷卻水、油田回注水系統。可以起到減少金屬設備或管路腐蝕和結垢的作用。ATMP在紡織印染等行業用作金屬離子螯合劑,也可用於金屬表面處理劑等。
ATMP固體為結晶體,易溶於水,易吸潮,易於運輸和使用,尤其適用於冬季嚴寒地區。由於純度較高,可用作紡織印染行業的金屬螯合劑及金屬表面處理劑。

樣品圖片質量指標
atmp 套用範圍與使用方法
ATMP 常與其它有機膦酸、聚羧酸或鹽等復配成有機鹼性水處理劑,用於各種不同水質條件下的循環冷卻水系統。用量以1~20mg/L為佳;作緩蝕劑使用時,用量為20~60mg/L。ATMP一般為酸製品。但用於鹼洗等目的時,可用氫氧化鈉中和成五鈉鹽後製成配方備用。由於本膦酸的二鈉鹽和三鈉鹽在水中的溶解度較低(常溫下為30%左右,而五鈉鹽為50%左右),為了配製穩定的配方,用氫氧化鈉溶液中和本品液體產品(50%的水溶液)時,前者的濃度不得高於45%,否則,在中和過程中會出現二鈉鹽和三納鹽的細小微晶沉澱。本品單獨作緩蝕劑使用時,所需劑量較高。故常需與其他緩蝕劑(例如,鋅離子)合用。與鋅鹽配,能明顯地改善碳鋼的抗蝕能力,配方中鋅的最佳含量為30%-60%。由於鋅與其形成絡合物,使鋅增溶穩定,因此該配方對水質的變化並不敏感,循環冷卻水溫允許達到70-77攝氏度,PH 值可到9。包裝與貯存
ATMP液體用塑膠桶包裝,每桶30kg或250kg;ATMP固體用內襯聚乙烯袋的塑膠編織袋包裝,每袋淨重25kg,也可根據用戶需要確定。貯於室內陰涼通風處,防潮、嚴防曝曬,貯存期十個月。安全防護
ATMP為酸性,應避免與眼睛、皮膚或衣服接觸,一旦濺到身上,應立即用大量水沖洗。ATM前置處理系統
ATM前置處理系統指進行在線上交易處理時,與ATM終端建立通信連線的通信前置機或業務主機,能夠接受、處理或轉發ATM終端的交易請求信息,並向ATM終端回送交易結果信息。ATMP用途
工業中製取ATMP採用:甲醛、氯化銨、三氯化磷反應製取。用途方面:由於生產中使用甲醛生產,所以產生後的液體,會含有及少量的甲醛,但含量很微小。
ATMP水處理劑對水中鈣離子的螯合能力非常強。ATMP不能作為與不繡鋼材料的緩蝕阻垢劑,
ATMP使用領域及方法用量
ATMP主要用於工業水處理,是一種高效穩定劑,具有良好的螯合。低限抑制、晶格畸變等作用。可阻止水中成垢鹽類形成水垢,特別是抑制碳酸鈣垢的形成;在水中ATMP離解成的六個負離子能與鈣、鎂金屬形成多元環整合物並以鬆散形式分散於水中,使鈣垢、鎂垢的正常結晶受到破壞。ATMP與聚磷酸鹽、聚羧酸鹽、亞硝酸鹽有良好的協同能力,可以有效地防止不中成垢鹽類形成水垢。它也具有緩蝕作用,作為陰極型緩蝕劑。是工業循環冷卻水處理領域常用的阻垢劑和緩蝕劑。也可以用做金屬清洗劑去除金屬表面的油脂,還有於洗滌劑的添加劑,金屬離子的遮蔽劑,無氰電鍍添加劑,貴金屬的萃取劉等。
ATMP低抗氧化性殺菌劑(例如氯氣)分解的能力不如HEDP強,因此,在用於循環冷卻水系統時,其投藥點亦應與氯氣的投藥點隔開;氯氣的衝擊式的而不是連續式的;鋅離子對本品的氯分解也能起減緩作用;另外 ,其被氯/溴殺生劑的分散作用還可通過每升水中加入氨基磺酸大於等於1mg/mg溴來予以抑制。
ATMP對銅及其合金具有腐蝕作用。因此,用它來阻垢時,必須與唑類銅緩蝕劑合併使用,本品用於鍋爐水的螯合處理時,與EDTA或NTA等常規螯合劑合用可產生協同效果。ATMP一般為酸製品。但用於鹼洗等目的時,可用氫氧化鈉中和成五鈉鹽後配方備用。由於本膦酸的二鈉鹽和三鈉鹽在水中的溶解度較低,為了配製穩定的配方,用氫氧化鈉溶液中和ATMP液體時前者的濃度不得高於45%,否則在中和過程中會出現二鈉鹽和三鈉鹽的細小微晶沉澱。
配方
在如下配方Na2SO3/Na2CO3/ATMP中,
ATMP用2mg/l時緩蝕率大於90%,
當ATMP為10mg/l時,緩蝕率大於98%
在高硬度鈣離子=200mg/L水中(T=80度)此配方中ATMP用10mg/l,阻垢率為80%,當ATMP為25mg/l時,緩蝕率大於90%
ATMP在高濃度情況下單獨使用,對軟鋼有很好的防鏽作用。當ATMP與鋅鹽復配使用時,摩爾比為1:1時,對軟鋼的防鏽作用最好。
包裝與儲存
ATMP液體用塑膠桶包裝,每桶30kg或250kg;ATMP固體用內襯聚乙烯袋的塑膠編織袋包裝,每袋淨重25kg,也可根據用戶需要確定。貯於室內陰涼通風處,防潮、嚴防曝曬,貯存期十個月。
AminoTrimethylenePhosphonicAcid,ATMP
CASNo.6419-19-8 Dequest:2000
MolecularFormula:N(CH2PO3H2)3Molecularweight:299.05
StructuralFormula:
-Properties:
ATMP hasexcellentchelation,lowthresholdinhibitionandlatticedistortionability.Itcanpreventscaleformation,calciumcarbonateinparticular,inwatersystem.ATMPhasgoodchemicalstabilityandishardtobehydrolyzedinwatersystem.Athighconcentration,ithasgoodcorrosioninhibition.
ATMPisusedinindustrialcirculatingcoolwatersystemandoilfieldwaterpipelineinfieldsofthermalpowerplantandoilrefineryplant.ATMPcandecreasescaleformationandinhibitcorrosionofmetalequipmentandpipeline.ATMPcanbeusedaschelatingagentinwovenanddyeingindustriesandasmetalsurfacetreatmentagent.
ThesolidstateofATMPiscrystalpowder,solubleinwater,easilydeliquescence,suitableforusageinwinterandfreezingdistricts.Becauseofitshighpurity,itcanbeusedinwoven&dyeingindustriesandasmetalsurfacetreatmentagent.
UsageandDosage:
ATMPisusuallyusedtogetherwithorganophosphoricacid,polycarboxylicacidandsalttobuiltallorganicalkalinewatertreatmentagent.ATMPcanbeusedinmanydifferentcirculatingcoolwatersystem.Thedosageof1-20mg/Lisrecommended.Ascorrosioninhibitor,thedosageof20-60mg/Lispreferred.
PackingandStorage:
ATMPliquid:Normally250kgor550LBSnetindrum,1000kgor2700LBSnetinIBC,orpercustomers.ATMPsolid:25kginnerlinerpolyethylene(PE)bag,outerplasticwovenbag,orconfirmedbyclients.Storagefortenmonthsinroomshadyanddryplace.
SafetyProtection:
Acidity,Avoidcontactwitheyeandskin,oncecontacted,flushwithwaterimmediately.

