英文名稱
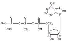
5'-二磷酸腺苷Adenosine 5'-diphosphate、adenosine 5
InChI
InChI=1/C10H13N5O4.H4O7P2/c11-8-5-9(13-2-12-8)15(3-14-5)10-7(18)6(17)4(1-16)19-10;1-8(2,3)7-9(4,5)6/h2-4,6-7,10,16-18H,1H2,(H2,11,12,13);(H2,1,2,3)(H2,4,5,6)/t4-,6-,7-,10-;/m1./s1
物質用途
用作拮抗劑。

5'-二磷酸腺苷是一種化學物質,分子式是C10H17N5O11P2。
5'-二磷酸腺苷Adenosine 5'-diphosphate、adenosine 5
InChI=1/C10H13N5O4.H4O7P2/c11-8-5-9(13-2-12-8)15(3-14-5)10-7(18)6(17)4(1-16)19-10;1-8(2,3)7-9(4,5)6/h2-4,6-7,10,16-18H,1H2,(H2,11,12,13);(H2,1,2,3)(H2,4,5,6)/t4-,6-,7-,10-;/m1./s1
用作拮抗劑。
二磷酸腺苷(adenosine diphosphate;ADP)是一種核苷酸。在各種生化反應中由ATP生成,具有一個高能磷酸鍵,通過腺苷酸激酶能可逆地轉...
簡介 概念 物理化學性質 產生 儲運條件由一分子腺苷與兩個相連的磷酸根組成的化合物。在生物體內,通常為三磷酸腺苷(ATP)水解失去一個磷酸根,即斷裂一個高能磷酸鍵,並釋放能量後的產物。 當一摩...
化學性質 主要用途 製備方法 安全風險 儲存運輸由一分子腺苷與兩個相連的磷酸根組成的化合物。在生物體內,通常為三磷酸腺苷(ATP)水解失去一個磷酸根,即斷裂一個高能磷酸鍵,並釋放能量後的產物。 當一摩...
化學性質 主要用途 製備方法 安全風險 儲存運輸基本信息中文名稱: 5'-二磷酸腺苷 中文別名: 二磷酸腺苷 英文名稱: adenosine 5英文別名: Adenosine 5'-diphosphate物理性質CAS號: 58-64-0...
基本信息 物理性質osin osin osin
二磷酸腺苷二鈉鹽 英文名稱 英文別名三磷酸腺苷二鈉是核苷酸衍生物,參與體內脂肪、蛋白質、糖、核酸以及核苷酸的代謝。當體內吸收、分泌、肌肉收縮及進行生化合成反應等需要能量時,三磷酸腺苷即分解...
化合物簡介 藥典標準 藥物分析 三磷酸腺苷二鈉片 三磷酸腺苷二鈉注射液ATP(adenosine-triphosphate)中文名稱為腺嘌呤核苷三磷酸,又叫三磷酸腺苷,簡稱為ATP,其中A表示腺苷,T表示其數量為三個,P表...
簡介 別名 分子簡式 能源物質 生理功能單磷酸腺苷(英文:Adenosine monophosphate,簡稱AMP),又名一磷酸腺苷,5'-腺嘌呤核苷酸或腺苷酸,是一種在核糖核酸(RNA)中...
生產及降解 環-單磷酸腺苷 商務套用CAMP(Cyclic Adenosine monophosphate)“腺苷-3',5'-環化一磷酸”的簡稱。亦稱“環磷酸腺苷”“環化腺核苷一磷酸”,...
簡介 生理功能 畜牧業中的套用