基本信息
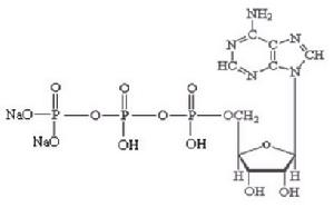
中文名稱: 5'-二磷酸腺苷中文別名: 二磷酸腺苷
英文名稱: adenosine 5
英文別名: Adenosine 5'-diphosphate
物理性質
CAS號: 58-64-0EINECS號: 200-392-5
分子式: C10H17N5O11P2
分子量: 445.2164
分子結構:


次數,持續時間及疼痛性質均明顯加重者。(5)疼痛伴S-T段明顯抬高或壓低...緩解。②全身症狀發熱多於起病2~3天開始,一般在38℃左右,很少超過39...,血壓降低,皮膚濕冷,噁心嘔吐;前壁梗死約4/5的病人有交感神經興奮,表現為...
症狀體徵 用藥治療 飲食保健 預防護理 病理病因(/-),對多黏菌素(50u)、複方磺胺甲,唑和DADP(二磷酸脫氧腺苷)(50和...
原因 檢查 鑑別診斷 緩解方法夢魘和皮疹。本研宄中在任一治療組大於或等於5%受試者中發生的治療中出現...
警示語 成份 性狀 適應症 規格[(2R,5S)-2-羥甲基-1,3-氧硫環-5醯]胞嘧啶化學結構式...分別為 2%和 5%。最常見的導致中止治療的 ADRs 為精神類疾病:利...治療受試者中,至少有5%發生的不良反應包括腹痛、消化不良、嘔吐、發熱、疼痛...
警示語: 成份: 性狀: 適應症: 規格:(表5)。http://x1.webres.medlive.cn...吡呋酯組9%,阿德福韋酯組2%。富馬酸替諾福韋二吡呋酯治療組5%以上...治療期間(第48~240周),有不足1%受試者(5/585)出現確證...
警示語 成份 性狀 適應症 規格氧西林/4苯唑西林/4氯唑西林/4氟氯西林/5氨苄西林/5阿莫西林/6哌...糖苷類抗生素37鏈黴素/38卡那黴素/39妥布黴素/39阿米卡星/40...
內容簡介 圖書目錄激酶磷酸化生成具有藥理活性的代謝產物替諾福韋二磷酸,然後與5’-三磷酸...韋雙異丙醯氧基甲酯延胡索酸鹽,是替諾福韋的酯類前。替諾福韋是一種無環的5’-單磷酸腺苷類似物,口服吸收較差,酯化的替諾福韋——TDF口服吸收率...
基本內容 tdf檔案 生化名詞激酶磷酸化生成具有藥理活性的代謝產物替諾福韋二磷酸,然後與5’-三磷酸...雙異丙醯氧基甲酯延胡索酸鹽,是替諾福韋的酯類前。替諾福韋是一種無環的5’-單磷酸腺苷類似物,口服吸收較差,酯化的替諾福韋—— TDF口服吸收率...
藥物 tdf檔案 生化名詞噻吩[3,2-C]哌啶-5(4H)-乙酸乙酯硫酸氫鹽化學結構式: 分子式...的患者,冠狀動脈搭橋術後7天內發生大出血的不多。在搭橋術的5天內,繼續接受...%(維持劑量)。這種血藥濃度下可導致血小板聚集抑制率分別降低39%(負荷...
成份 性狀 適應症 規格 用法用量