【中文名稱】1068;氯丹;氯化茚;1,2,4,5,6,7,8,8-八氯-2,3,3α,4,7,7α-六氫化-4,7-亞甲茚
【英文名稱】chlordane;Octachlor;M410;Velsicol1068
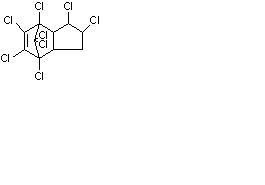
【結構或分子式】
分子結構:
雙鍵碳原子均以sp2雜化軌道形成σ鍵;其它C原子均以sp3雜化軌道形成σ鍵。
【相對分子量或原子量】409.8
【密度】相對密度1.61(25℃)
【沸點(℃)】175(0.27千帕)
【折射率】1.56~1.57
【性狀】
無色或淡黃色液體(工業品是琥珀色粘稠液體,有衫木氣味)。
【溶解情況】
不溶於水,溶於有機溶劑,並能與煤油任何比例混合。
【用途】
一種有機氯殺蟲劑。對昆蟲具有觸殺、胃毒、熏蒸作用。曾用於防治地下害蟲、白蟻和衛生害蟲等,在殺蟲範圍內對植物無藥害。氯丹能防治螻蛄、金針蟲、蠐螬等地下害蟲和蝗蟲、棉象鼻蟲、棉紅蜘蛛、棉蚜蟲、馬鈴薯甲蟲、扁虱、蜚蠊、蠅等。允許殘留量為0.3mg/kg。如50%乳油防治高粱、小麥、玉米、大豆的地下害蟲,以50~60g/50kg種子進行拌種;林業苗圃防治地下害蟲,以500g/ha灌澆或噴灑;防治蟻類,以50~100倍液灌澆。
【製備或來源】
由六氯環戊二烯和環戊二烯縮合後,再在四氯化碳中通入氯氣而得。苯前餾分(含二聚環戊二烯13%~30%)經提取,得二聚環戊二烯,然後在170℃進行裂解,得環戊二烯。環戊二烯在50℃進行液相氯化反應,生成四氯環戊二烯,而後在500℃進行氣相氯化,生成六氯環戊二烯,然後在75~85℃與環戊二烯縮合,而後在70℃、四氯化碳中進行氯化,即製得氯丹。常加工成粉劑、可濕性粉劑、乳化劑等使用。製劑為50%的乳油。
【其他】
在鹼性溶液中易分解,脫去氯化氫而失去殺蟲力。大白鼠急性經口LD50為457~590mg/kg。用150mg反式-氯丹/kg飼料飼餵大白鼠2年,其死亡率不比對照組高,但在肝臟中出現了病理組織學變化。工作場所氯丹的最高允許濃度0.5毫克/立方米。
【包裝及貯運】
乳油按GB3796、GB4638包裝。貯存在陰涼通風乾燥處,不得與食物、飼料、飲料等物品混放。本品在農作物收穫前20天禁用,牧草在施藥2~3周后才能放牧。瓜類及室溫植物不宜施用。春季不能施用於櫻桃及梅樹。對人畜有累積毒性,使用時注意安全。
相關詞條
-
劉敞(1019~1068)
字原父,世稱公是先生。 劉敞的詩流傳也不少,五言、七言都不乏佳作。 著有《公是集》54卷,有廣雅書局重刻聚珍本。
劉敞(1019~1068) 正文 配圖 相關連線 -
NGC 1068
40.7 47.0Mly (14.4
天體簡介 位置信息 -
完顏阿骨打(1068~1123)
完顏阿骨打(1068~1123) 正文即金太祖,中國金王朝建立者,軍事家。女真族完顏部人,又名旻。意志堅毅,深謀遠慮。初輔佐其叔、兄等統一女真各部,發展生產,厲兵秣馬,實力日強。遼天慶三年(1113)十月,繼任...
完顏阿骨打(1068~1123) 正文 配圖 相關連線 -
HR 1068
HR 1068 - 天體簡介:HR 1068是位於鹿豹座的一個恆星。它的赤經為3h 33m 32.10s, 赤緯為58°45′54.00″,星等6.4等。
天體簡介 天體照片 位置信息 外部連結 -
欣香優1068
特徵特性:全生育期114.7天,比對照岳優9113早熟0.6天。 兩年平均畝產479.21公斤,比對照岳優9113增產0.16%。 6月中下旬播種,秧田...
品種審定編號: 品種名稱: 選育單位: 品種來源: 產量表現: -
Suite No. 3 In D, BWV 1068: Bourree
Suite No. 3 In D, BWV 1068: Bourree ...
-
IC 1068
1068 1068 1068
天體簡介 天體照片 位置信息 外部連結 -
1068攝影工作室
時間流逝,光陰的故事將通過攝影的方式演繹,保存。
