α可指定0~1之間任何顯著性水平,默認值為0.05。
單因素方差分析後兩兩比較平均值,
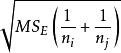
LSD[最小顯著性差異法]如果每個組的數據都是n,則LSD的標準誤為
LSD[最小顯著性差異法]否則
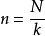
LSD[最小顯著性差異法]其中MSE為誤差,n為A因素每一水平的數據數量。A有k個水平,總數據有N,則
LSD[最小顯著性差異法]自由度
這是一種t檢驗
Dunnett's t 檢驗是LSD的特殊形式,檢驗第i 組實驗組和 對照組間的差別。但它有特殊的臨界值表 。
實踐中一般不選用LSD,而選用Dunnett's t 檢驗(對照組比較)和SNK q檢驗(兩兩比較),但是LSD的歷史意義是不可磨滅的。
