簡介
黎曼-勒貝格引理是描述L 中函式傅立葉變換在無窮遠處性質的引理。
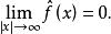
黎曼-勒貝格引理該引理斷言:若f∈L (R ),則
傅立葉變換
傅立葉變換,表示能將滿足一定條件的某個函式表示成三角函式(正弦和/或餘弦函式)或者它們的積分的線性組合。
在不同的研究領域,傅立葉變換具有多種不同的變體形式,如連續傅立葉變換和離散傅立葉變換。最初傅立葉分析是作為熱過程的解析分析的工具被提出的。
Lp空間
在數學中, L空間是由p次可積函式組成的空間;對應的L空間是由p次可和序列組成的空間。
在泛函分析和拓撲向量空間中,他們構成了Banach空間一類重要的例子。L空間都是巴拿赫空間,但只有當p=2的時候,L空間是希爾伯特空間。也就是說,可以為L空間中的元素定義內積。
