數學定義
把一條線段分割為兩部分,使較大部分與全長的比值等於較小部分與較大的比值,則這個比值即為黃金分割。其比值是 (√5-1):2,近似值為 0.618,通常用希臘字母 Ф表示這個值。
附:黃金分割數前面的32位為:0.6180339887 4989484820 458683436565
黃金分割[黃金比例] | 黃金分割[黃金比例] 黃金分割[黃金比例] 黃金分割[黃金比例] 黃金分割[黃金比例] 黃金分割[黃金比例] 黃金分割[黃金比例] | |
尺規作圖
圖示1、設已知線段為AB,過點B作BD⊥AB,且BD=AB/2
2、連結AD
3、 以D為圓心,DB為半徑作弧,交AD於E
4、以A為圓心,AE為半徑作弧,交AB於C,則點C即為黃金分割點
在一個黃金矩形中,以一個頂點為圓心,矩形的較短邊為半徑作一個四分之一圓,交較長邊於一點,過這個點,作一條直線垂直於較長邊,這時,生成的新矩形仍然是一個黃金矩形,這個操作可以無限重複,產生無數個的黃金矩形。
推廣拓展
分數與根式
黃金分割[黃金比例]
黃金分割[黃金比例]
黃金分割[黃金比例]
黃金分割[黃金比例]
黃金分割[黃金比例]
黃金分割[黃金比例]
黃金分割[黃金比例]
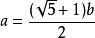
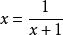
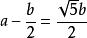
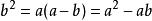
黃金分割[黃金比例]設 為黃金比,便有 。然後有 , ,得 。對等式右邊分母中的 又以 代替,可得 ;以此類推,可得無窮連分數。對等式進行類似的代替,可得無窮連根號。
特殊的數列
設一個數列,它的最前面兩個數是 1、1,後面的每個數都是它前面的兩個數之和。例如: 1,1,2,3,5,8,13,21,34,55,89,144·····這個數列為“斐波那契數列”,這些數被稱為“斐波那契數”。
經計算發現相鄰兩個斐波那契數的比值是隨序號的增加而 逐漸逼近 黃金分割比。由於斐波那契數都是整數,兩個整數相除之商是有理數,而黃金分割是無理數,所以只是不斷逼近黃金分割。
黃金三角形
所謂黃金三角形是一個等腰三角形,其底與腰的長度比為黃金比值,正是因為其腰與邊的比為(√5-1)/2而被稱為黃金三角形。黃金分割三角形是唯一一種可以用5個而不是4個與其本身全等的三角形來生成與其本身相似的三角形的三角形。由五角形的頂角是36度可得出黃金分割的數值為2sin18度(即2*sin(π/10))。
將一個正五邊形的所有對角線連線起來,在五角星中可以找到的所有線段之間的長度關係都是符合黃金分割比的,所產生的五角星裡面的所有三角形都是黃金分割三角形。
發展簡史
畢達哥拉斯公元前6世紀,古希臘的畢達哥拉斯學派研究過正五邊形和正十邊形的作圖,關於黃金分割比例的起源大多認為來自畢達哥拉斯學派。1:0.618就是黃金分割。這是一個偉大的發現。
公元前4世紀,古希臘數學家歐多克索斯第一個系統研究了這一問題,並建立起比例理論。他認為所謂黃金分割,指的是把長為L的線段分為兩部分,使其中一部分對於全部之比,等於另一部分對於該部分之比。而計算黃金分割最簡單的方法,是計算斐波那契數列1,1,2,3,5,8,13,21,...第二位起相鄰兩數之比,即2/3,3/5,5/8,8/13,13/21,...的近似值。
公元前300年前後歐幾里得撰寫《幾何原本》時吸收了歐多克索斯的研究成果,進一步系統論述了黃金分割,成為最早的有關黃金分割的論著。
黃金分割在文藝復興前後,經過阿拉伯人傳入歐洲,受到了歐洲人的歡迎,他們稱之為"金法",17世紀歐洲的一位數學家,甚至稱它為"各種算法中最可寶貴的算法"。這種算法在印度稱之為"三率法"或"三數法則",也就是我們常說的比例方法。
中世紀後,黃金分割被披上神秘的外衣,義大利數學家帕喬利將中末比為神聖比例,並專門為此著書立說。德國天文學家克卜勒稱黃金分割為神聖分割。
套用實例
黃金分割具有嚴格的比例性、藝術性、和諧性,蘊藏著豐富的美學價值,這一比值能夠引起人們的美感,被認為是建築和藝術中最理想的比例。
畫家們發現,按0.618:1來設計的比例,畫出的畫最優美,在達·芬奇的作品《維特魯威人》、《蒙娜麗莎》、還有《最後的晚餐》中都運用了黃金分割。而現今的女性,腰身以下的長度平均只占身高的0.58,因此古希臘的著名雕像斷臂維納斯及太陽神阿波羅都通過故意延長雙腿,使之與身高的比值為0.618。建築師們對數字0.618特別偏愛,無論是古埃及的金字塔,還是巴黎的聖母院,或者是近世紀的法國艾菲爾鐵塔,希臘雅典的巴特農神廟,都有黃金分割的足跡。
![黃金分割[黃金比例] 黃金分割[黃金比例]](/img/6/dba/nBnauM3XzYTNzITM1QTMxADO1UTM1QDN5MjM5ADMwAjMwUzL0EzL1UzLt92YucmbvRWdo5Cd0FmL0E2LvoDc0RHa.jpg)
黃金分割[黃金比例]
黃金分割[黃金比例]
黃金分割[黃金比例]
黃金分割[黃金比例]
黃金分割[黃金比例]
黃金分割[黃金比例]
黃金分割[黃金比例] 