簡介
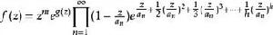
魏爾施特拉斯分解定理是指任意整函式f(z)可以分解為如下無窮乘積的形式:
魏爾施特拉斯分解定理其中g(z)是另一整函式,h是上述無窮乘積收斂的最小整數,稱為虧格。這種無窮乘積稱為典範乘積。求解g(z)的方法一般是兩邊同時取對數再求導數,這樣右邊就可以化為無窮級數形式,通過對比無窮級數理論中的相關結果得出g(z)的形式。
卡爾·魏爾斯特拉斯
卡爾·特奧多爾·威廉·魏爾斯特拉斯(德語: Karl Theodor Wilhelm Weierstraß,姓氏可寫作 Weierstrass,1815年10月31日-1897年2月19日),德國數學家,被譽為“現代分析之父”。
無窮乘積
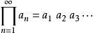
在數學中,對於複數序列a,a,a, ..., 無窮乘積
魏爾施特拉斯分解定理定義為部分乘積aa...a在n的增加沒有邊界時的極限。當這個極限存在並且不是0的時候,這個乘積稱為“收斂”,否則稱為發散。
相關條目
•卡爾·魏爾施特拉斯
