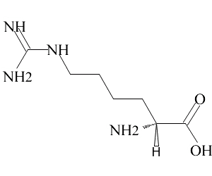
基本信息產品編號: SAJ087分子結構式中文名稱: 高精氨酸 中文別名: 高精氨酸 英文名稱: H-HomoArg-OH 英文別名: Homoarginine 線性分子式: 純度: ≥95% 等級: 分子式: C7H16N4O2 分子量: 188.2CAS號156-86-5