高斯-埃爾米特求積公式高斯-埃爾米特求積公式(Guass-Hermite)一種高斯型求積公式.指求積區間為(-∞,+∞),權函式的正交多項式為埃爾米特多項式
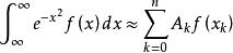
高斯-埃爾米特求積公式對應的高斯型求積公式
高斯-埃爾米特求積公式稱為高斯—埃爾米特求積公式。
高斯-埃爾米特求積公式
高斯-埃爾米特求積公式高斯-埃爾米特求積公式(Guass-Hermite)一種高斯型求積公式.指求積區間為(-∞,+∞),權函式的正交多項式為埃爾米特多項式
高斯-埃爾米特求積公式對應的高斯型求積公式
高斯-埃爾米特求積公式稱為高斯—埃爾米特求積公式。
高斯-埃爾米特求積公式等距離節點的牛頓插值公式 5.4 埃爾米特(Hermite)插值...(Romberg)求積公式 6.5 高斯(Gauss)求積公式 6.5.1 高斯求積公式的概念 6.5.2 勒讓德(Legendre...
基本信息 內容簡介 圖書目錄5.5.2牛頓科茨求積公式5.6高斯積分法5.6.1高斯積分法的基本思想5.6.2勒讓德高斯求積公式5.6.3埃爾米特高斯求積公式5.6.4拉蓋爾高斯求積公式5.7龍貝格積分法5.7.1龍貝格積分法的基本思想...
內容簡介 圖書目錄的基本思想5.5.2牛頓科茨求積公式5.6高斯積分法5.6.1高斯積分法的基本思想5.6.2勒讓德高斯求積公式5.6.3埃爾米特高斯求積公式5.6.4拉蓋爾高斯求積公式5.7龍貝格積分法5.7.1龍貝格積分法...
內容簡介 圖書目錄的定義及性質112二、 等距節點插值多項式及其餘項1145.4 埃爾米特...(NewtonCotes)求積公式150一、 牛頓柯特斯求積公式151 二...柯特斯公式的穩定性157五、 待定係數法1587.2 復化求積公式160...
個人簡介 優秀圖書的疊代解法2?3?1簡單疊代法2?3?2高斯?賽德爾疊代法2?3?3鬆弛法2...4.2埃特金疊代法4.3牛頓疊代法與插值法4.3.1牛頓疊代法4.3.2插值...的構造5?2?2插值多項式的餘項5?2?3插值的逼近性質5?3埃特金逐步插值...
編成《大衍曆》,建立了不等距的內插公式。 820年,阿拉伯的阿爾...左右,義大利的埃利亞學派的芝諾等人指出了在運動和變化中的各種矛盾,提出了...特學派用“原子法”計算面積和體積,一個線段、一個面積或一個體積被構想為由...
的整理和保存。近代史是從18世紀,由J.蒙蒂克拉、C.博絮埃、A.C.克...M.B.康托爾的《數學史講義》(4卷,1880~1908)以及C.B.博耶...被譯成現代文字,在這方面作出了成績的有J.L.海貝格、胡爾奇、T.L.希...
歷史介紹 研究範圍 研究內容 發展階段 重要意義5.1.4 埃爾米特(Hermite)插值2115.2 數值積分2145.2.1 數值求積公式及代數精度2155.2.2 插值型...5.2.6 高斯(Gauss)型求積公式2275.3 數值微分231...
圖書簡介 目錄4.3.2 分段埃爾米特三次插值 124 4.3.3 附註:二重...Simpson求積公式 164 5.2.1 梯形公式和Simpson公式 164... 5.3 Gauss求積公式 170 5.3.1 Gauss點與正交多項式...
圖書信息 內容簡介 目錄