設計構造及工作原理
設計原理
高差儀的設計基於連通器兩端容器中液面自成水平的原理。當連通器一端容器(貯水杯)固定不動,抬高或降低另一端容器(觀測管)時,便引起液體在連通器內流動。當液流靜止後,連通器兩端容器內的液面便在一個新的水平線上達成水平(流進一端容器的液體體積等於另一端容器流出液體的體積),容器(觀測管)抬升或降低的高度等於該容器(觀測管)內液位變化的高度,從而可以得到一端容器抬升或降低的高度與該容器液位變化的關係。但是,這樣勢必增加現場測量工作的計算量,既不方便,也容易產生差錯。為了能從觀測管直接讀出兩個被測位置的水平高差,主要採取了兩個措施一是將觀測管的內徑儘量減小、貯水杯的內徑儘量加大,使得觀測管內徑平方與貯水杯內徑平方的比值減小,以降低連通器對觀測結果的影響;二是將觀測管上刻度段的實際長度、標示的數值進行縮小。
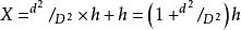
圖1 高差儀示意圖
高差儀
高差儀如圖1所示,當高差儀中的貯水杯放置不動,觀測管在位置A時,觀測管內的液柱高度為 。當觀測管在位置B時,觀測管內的液柱高度為 ,此時,觀測管內的液柱上升,這是因為貯水杯內有液體流進了觀測管,使得貯水杯內液面下降了H。見以下推導:
高差儀
高差儀
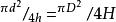
高差儀設觀測管內徑為d,貯水杯內徑為D,因為流進觀測管液體體積等於貯水杯流出液體的體積,則
高差儀
高差儀
高差儀則
高差儀式中:D為高差儀中貯水杯內徑;d為觀測管內徑;H 為貯水杯內水位變化值 ;X 為A、B 兩點的水平高差(觀測管上顯示出的標示值);h 為觀測管內水位變化值(刻度段實長)。
高差儀的構造及工作原理
高差儀由貯水杯、連通管和觀測管等組成。貯水杯為一個內徑較大的直式容器,安放在一個支腿能伸縮、支管能升降的三腳架上。貯水杯底部有一個與連通管相連的漏嘴。觀測管為一根特製的標示刻度的透明玻璃管,安插在伸縮管內,伸縮管安插在支座管內,支座管坐落在底座上。底座按用途不同分為板形、盤形和球形3種。伸縮管與支座管上端均裝有一個下部能夾緊伸縮管、支座管,上部能夾緊、鬆開觀測管、伸縮管的管接箍,以將儀器支持在適於工作的觀察高度.為能檢測高空中的軌道、管道、磚石砌體、模板等的水平高差,高差儀另外設計有上測裝置,用以測量高空中不同位置的水平高差。其工作原理是:將三腳架置於待測範圍的中心附近,把貯水杯支持到適合觀察的高度;將支座管底座置放在待測位置上,使觀測管升到適於觀察的高度,把連通管的各個管插頭接好.對貯水杯加水,加水量約為貯水杯容積的1/2。水流過連通管,經過管插頭,進入觀測管。當液流靜止後,液面便停止在觀測管的某一刻度值上,記下這一數值。然後,保持貯水杯位置、高度不變,移動觀測管底座或上測管上的卡腳至一個新的位置。當液流靜止後,若液面仍停在原來的數值上,說明前後兩個位置同處於一個水平面內,即它們的高差為零;若液面上升(如30 mm),說明後一個位置比前一個位置低,高差為30mm;若液面下降(如30 mm),說明後一個位置比前一個位置高,高差為30mm。
高差儀與其他幾種方法對比
軟管“找水平”法
建築工人使用一條裝水的透明軟管,軟管一端直立與某一待測處,將軟管的另一端拖到其它位置,然後標記兩軟管的液面位置,這就是所說的“找水平”。找好水平後,根據高度需要再通過劃線的方法抬高或降低標記線,從而確定相對標高。“找水平”是利用連通器原理工作的,要求整個軟管內部不允許有氣泡;若軟管記憶體在氣泡,則測量結果將出現偏差,最大測量偏差等於氣泡的豎直高度。然而,工人的使用習慣總是現用現灌水,由於軟管的內徑一般較小,往軟管內灌水時極易存留氣泡於管內,使測量結果與真實值比較大打折扣。所以,用“找水平”確定標高的方法具有測量儀器簡單、廉價和方便的特點,但其致命缺陷是測量不準確、不能夠直接確定標高。因此,此方法僅限於尺寸要求不高的簡易工程施工。
雷射水平儀法
雷射水平儀是近幾年出現的一種測量儀器,其被廣泛用於建築施工和裝飾工程。雷射水平儀是利用雷射的低發散性和鉛垂線原理(重力的方向總是豎直向下)工作的,其測量精度決定於內部雷射管與鉛垂線的夾角和被測量對象的水平距離。內部雷射管與鉛垂線的夾角在生產時被確定,理論上要求二者的夾角必須是90度,出廠時要經過嚴格調試;被測量對象的水平距離越大,水平線的誤差越大,當水平距離大於20米時,雷射掃描線的寬度已經達到5-10毫米,這對測量結果影響很大;內部雷射管與鉛垂線的夾角隨著使用年限的延長、環境溫度等因素會出現微小的變化,這種微小變化對測量結果的影響是非常巨大的。因此,雷射水平儀法也是一種簡易而且精度低的方法。在一些要求嚴格的施工場合無法使用。
水準儀法
水準儀是一種建立水平視線測定地面兩點間高差的儀器。主要部件有望遠鏡、管水準器(或補償器)、垂直軸、基座、腳螺旋。按結構分為微傾水準儀、自動安平水準儀、雷射水準儀和數字水準儀(又稱電子水準儀)。按精度分為精密水準儀和普通水準儀。水準儀是一種精密而且貴重的測量儀器,目前被普遍套用於測繪、建設等行業,它是一種較高檔的測繪儀器。操作和使用水準儀需要有專業技術人員進行。水準儀雖然具有較高的測量精度、較大的測量距離,但其測量條件受天氣影響,而且不能夠跨越障礙物,基準位置與被測位置之間必須是直線可見的。
高差儀法
高差儀運用連通器兩端容器中液面自然形成水平的原理,高差儀可測量任意兩點的高差,並能直接讀出測量結果。與“找水平”法和雷射水平儀相比有著精度高,測量誤差小等優點,與水準儀相比有結構簡單、容易操作,經濟節省等優點。
高差儀技術開發的創新性
理論與套用創新
測量標高(高差)的常用儀器一般是水準儀,水準儀是在水準泡(圓水準器、長水準管)上工作的。使用時須仔細調整水平,需要經過培訓的專業測量人員操作。因水準儀通過望遠鏡觀測目標,視線是一根放射線,其水平調整稍有誤差,就會影響測量結果的準確性。而高差儀是在連通器基礎上進行工作的。連通器兩端容器的液面自然成水平,不用人工調整,不會因水平問題產生誤差。且高差儀便於攜帶,使用簡便,一般施工人員不經培訓即能使用,可邊測量邊施工,便於監控及自行檢查質量一般套用連通器原理只能進行水平測量,不能進行高差測量。
技術與構造創新
高差儀淘汰了工程上普遍套用的彈線法、拉線法,可直接置於工作面,檢測空間任意兩點的水平高差,工作效率高、質量好。例如,對於現行的國家技術標準,用其規定的技術方法或測量儀器進行檢驗,有些地方很難或根本無法操作,以至於在工程質量與安全要求上達不到規定標準,出現了許多不應該出現的問題,甚至造成技術標準與現場施工的矛盾。
水準儀由望遠鏡、圓水準器、長水準管和各種調整螺旋組成,構造複雜,零部件多,在使用及移動中易出現變形移位,影響正常使用.且水準儀尤其是長水準管的檢驗校正較困難,須由國家指定的質量監督檢驗部門進行。高差儀的構造只有貯水杯、連通管和觀測管等,由於是在連通器基礎工作,可自行調整水平,不需人工干預,避免了人為產生的水平調整誤差,保證了檢測結果的準確和校正的簡便快速。由於構造簡單,決定了其價格低廉和操作使用的便利性。
高差儀的套用前景
高差儀主要套用於建築工程、礦山建設工程、機械設備檢修工程等行業以及教學實驗實訓的工程測量與檢驗。據國家統計局2003年12月統計,我國現有5000人及以上的大型建築安裝企業48000多個,2000-3000人的中型建築安裝企業估計有15萬家,小型建築企業70萬戶。高差儀是建築安裝工程施工全過程所需要的儀器,是瓦工、木工、安裝工應備的工具,市場需求量則遠遠超過500萬台。隨著社會經濟發展,建築施工質量的逐步提高,機械行業對技術質量的要求也越來越嚴格,對高差儀的需求必然逐年上升。尤其是我國大西部的開發,小城鎮和新農村建設的興起,對高差儀的市場需求必將不斷增長。

