推算
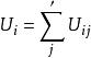
若用U表示離子i和j之間的相互作用能,則可定義一個和式U,讓其包括所有涉及第i個離子的相互作用,即有
馬德隆能式中求和包括除j=i以外的所有離子。如果U可以寫成 λexp(-r/ρ) 形式的中心場排斥勢與庫侖勢 ±q/r 之和(λ、ρ均為經驗參數),那么在CGS單位制中有:
馬德隆能式中對同號電荷取“+”號,對異號電荷取“-”號
若略去表面效應,則可以把N個分子(或2N個離子)所組成的晶體的總晶格能量U寫成U=NU 。注意:這個式子中出現的是N,而不是2N,這是因為對於每個相互作用對或每個鍵只能計算一次。
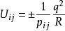
引入量p,使r=p ijR,其中R為晶體中的最近鄰間距,如果只計及最近鄰間的排斥相互作用,便有
馬德隆能(最近領)
馬德隆能(除最近鄰以外)
於是,
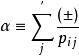
馬德隆能式中,z是任一離子的最近領數,並且定義α為馬德隆常數
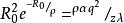
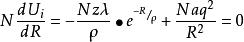
馬德隆能在達到平衡間距時,有dU/dR=0,由此導出
馬德隆能或
馬德隆能由此式可知,如果排斥相互作用的兩個參數ρ和λ已知,則可得到平衡間距R;則包含2N個離子的晶體在其平衡間距為R時的總晶格能寫為
馬德隆能其中-Nαq /R為馬德隆能量。
其他
馬德隆能表征了離子晶體中的結合能,其中馬德隆常數在離子晶體理論中有著非常重要的作用。

