基本介紹
定義 設W是線性空間V的一個子空間,如果V還有一個子空間W',滿足:
V=W+W',W∩W' ={0},
我們就把W'叫做是W的一個 餘子空間。
此時, 我們說V是子空間W與W'的直和, 並記作:
V = W⊕W'.
很明顯,如果W'是W的一個餘子空間,那么W也是W'的一個餘子空間。
子空間的和子空間的和是子空間的一種運算,設V是域P上的線性空間,V,V,…,V是V的子空間,若:
S={α+α+…+α|α∈V,i=1,2,…,s},
則S是V的子空間,稱為子空間V,V,…,V的和,記為V+V+…+V;子空間V,V,…,V的集合交V∩V∩…∩V也是V的子空間,稱為V,V,…,V的交,設dim V=n,ε,ε,…,ε是V的基,若V是V的子空間,則dim V≤n,當dim V<n,及ε′,ε′,… ,ε′為V的基時,必存在ε′,…,ε′使ε′,ε′,…,ε′為V的基,由ε′,…,ε′生成的子空間V稱為V的餘子空間(或補子空間)。V與它的餘子空間V的和V+V=V,它們的交V∩V={0},此時,又稱V為V與V的直和 。
相關結論
n維線性空間V的任意一個子空間W的餘子空間W'總是存在的。如果W=V,那么W'={0};如果W={0},那么W' =V 。
如果W是V的一個真子空間。取W的一個基
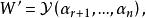
餘子空間把它擴充成V的基
餘子空間我們有
餘子空間令
餘子空間那么
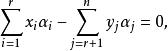
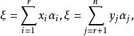
餘子空間現在證明W∩W'={0}。設ξ∈W∩W'。那么
餘子空間
餘子空間
餘子空間由於 線性無關。不難看出
餘子空間於是ξ= 0,從而W∩W'={0}。所以
餘子空間此時還有:
dimW + dimW' = dimV.
然而,n維線性空間V的一個真子空間W的餘子空間並不唯一。例如,在三維幾何空間V中,過原點的一個平面W是V的一個二維子空間。而過原點但不在W上的任何一條直線L都是W的一個餘子空間。這是因為
餘子空間所以
餘子空間定理設線性空間V能寫成子空間W與W'的直和,那么V中每一個向量ξ都可以唯一地表成
餘子空間數域F上每一個n階矩陣都可以表成一個對稱矩陣與一個反對稱矩陣的和,並且表法是唯一的。
關於直和的概念還可以推廣到多於兩個子空間的情形。
餘子空間設 是線性空間V的子空間。 如果
餘子空間且
餘子空間
餘子空間就把V叫做是子空間 的直和,並記作
餘子空間
餘子空間可以證明, 如果 ,那么V中每一個向量ξ都可唯一地表成
餘子空間
餘子空間的形式, 其中
並且當V是有限維線性空間時,還有 :
dimV=dimW₁+dimW₂+... + dimW.

