目錄
1 描述方法
2 原理
3 檢測方法
4 特點
5 套用
1. 描述方法
阻抗特性在檢測食品的理化特性的一個重要指標,表示交流電通過檢測食品時所遭遇的阻力。是在食品檢測中經常用到的檢測性質,阻抗分析較多的套用在品質評估和脂肪檢測上。
2. 原理
阻抗是指交流 電通過傳導材料 ( 如生長培養基 ) 時遭遇的阻力。生物阻抗是生物組織的一個基本的物理參數,反映生物組織、器官、細胞或整個生物機體電學性質。電學阻抗檢測技術可實現對農產品理化特性的評價,除果汁、乳製品、焙烤麵包類食品外,大多數通過自然生長的食物原料都由組織及細胞構成,植物細胞和動物細胞外層都有一層“隔離膜”如細胞膜、細胞壁,阻抗值都在幾百歐姆到幾兆赫茲範圍。不同的生物組織由於液體含量、細胞及其蛋白質種類不同,其電阻率分布差異影響著巨觀電學阻抗特性。食品原料的阻抗分析套用在品質評估和脂肪檢測上,更多套用於食品中微生物的檢測。
生物組織的阻抗會隨所用電信號的頻率而改變。當直流或低頻電流流過樣品時,則電抗較大,生物組織對外呈現出電阻特性,此時電流主要經細胞間質流過;而隨著頻率提高,此時電抗值呈現減小,生物組織的電容性特徵明顯,部分電流會穿過細胞膜,從細胞質甚至細胞核中進行傳導。
食品的阻抗特性對於食品匯總微生物代謝檢測,通過對材料取樣,在培養基中培養後檢測微生物。培養條件下,微生物利用新陳代謝作用下的相關物質,如蛋白質等相關物質分解成了胺基酸等物質進行吸收。微生物生長不斷的增多,電特性物質也在日益增加,從而讓電特性出現變化,即發生導電性增加的情況,隨著電阻的變化也發生了改變。自接種微生物完成以後,發生變化所使用的時間叫做檢出時間 ( DT)。通過相關研究結果表明:DT 值以及初始濃度之間的對數值(lgN0)之間有關聯,也是是說初始的濃度越小,DT 值就越大,反之就越小。 相關人員在檢測的前期階段,應當將 lgN0 與DT 值制定出相應的曲線。 相關人員在檢測過程中,應當按照相關比例要求稀釋,然後再進行培養,依據 DT 值能夠得到相應的初始濃度,從而達到快速檢測的效果。
因此生物組織的電路模型也可用圖1b所示的電路等效,只是此時的 Ri、 Re、 Cm已不再是代表某個細胞內、外液電阻和細胞膜電容,而是代表整個生物組織的等效內、外電阻和膜電容,這就是所謂的三組件生物電阻抗模型。
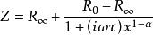
食品的阻抗特性Cole-Cole復電阻方程
食品的阻抗特性
食品的阻抗特性
食品的阻抗特性式中: ω=2π f, R代表頻率為處的電阻抗; 代表頻率無窮大的電阻抗;代表時間常數; α是弛豫因子,為無量綱指數,用於校正電解質損失引起的膜電容特徵變化,將檢測到的阻抗曲線與標準曲線比較,判斷食品的質量。
3. 檢測方法
3.1直接阻抗測量法 直接阻抗法是將培養基裝入特製的測量管 , 接種微生物後在培養基中插入電極 , 直接測量培養基的電特性變化。直接法使用的培養基需要根據待測菌的特性來設計 , 它既要有利於被測菌的繁殖與分離 , 又要在檢測過程中產生顯著的阻抗變化。因此 , 培養基的選擇是決定檢測成敗的關鍵因素之 一。
3.2 間接阻抗測量法 間接阻抗檢測法是通過檢測微生物生長代謝產生的 CO2 來反映微生物的代謝活性。測試時在阻抗測試管中加入 KOH (沒過電極) , 盛裝培養基的小管與測試管相通 , 接種後培養產生的 CO2 進入測試管與 KOH 反應生成碳酸鹽 , 其導電性比原始溶液低 , 記錄測試管中溶液的導電性變化即可得到微生物的信息。間接阻抗檢測技術已經被套用於對金黃色葡萄球菌 (Staph. Aureus) ,李斯特菌 (Listeria monocytogenes) ,糞鏈球菌 ( Enterococcus faecalis) , 枯草桿菌 (Bacillus subtilis) , 大腸埃希氏桿菌 ( Escherichia coli) , 銅綠色極毛 桿 菌 ( Pseudomonas aeruginosa ) ,親水性產氣單孢菌 ( Aeromonas hy2drophila) 和 沙 門 氏 菌 ( Salmonellaspp) 的檢測。
3.3 其他測試方法,目前已有針對肉類的便攜阻抗測試儀,可將肉品阻抗測量儀器的電極探頭垂直插入每個樣品在不同部位測量求取平均值的方法,進行阻抗測量。
4. 特點
在食品中微生物檢測方面,相比於傳統的食品微生物檢測,具有敏感度高、反應快、人工參與度較低、勞動強度低等優點.不僅能夠實現對食品微生物的快速檢測,而且能夠建立完整的微生物數量動態監測體系。在對渾濁樣品如乳製品等的檢測中具有較大優勢。
5. 套用
早期食品的阻抗特性分析主要套用在是乳製品領域,目前也在魚類檢測與肉類檢測中得到普遍運用。主要用於食品中微生物的測試。方向分為以下幾個大類。
5.1食品中菌落總數的檢測。這是目前的主要套用,通過阻抗法能夠對各種各樣的產品菌落總數進行檢測,尤其以貨架存放時間短的產品作為主要檢測對象。
5.2對食品中酵母菌的檢測。對酵母菌的檢測可以在44小時內完成檢測。
5.3對食品中金黃色葡萄球菌的檢測。通過監測金黃色葡萄球菌生物膜形成過程中的阻抗變化,動態檢測污染水平,12分鐘內可以完成檢測。
5.4對食品商業無菌的檢測.與國標中規定的方法相比,阻抗法檢出率可達 97%,且檢測時間縮短為 3天。
5.5在食源性致病菌菌種鑑定中的套用。相關人員對沙門氏菌等相關菌類進行了認真研究,從而根據實際情況得知曲線圖能夠符合相應的規律,因此成立了沙門氏菌等相關的阻抗檢驗方法。 相關研究人員對該方法所具有重複性的特點進行了證明。 通過採取細菌凝集素的相關原理來對菌種進行準確鑑別。 將大腸桿菌等相關的菌類裡面放入伴刀豆球蛋白 A,從而兩者發生作用,通過 Au/SPE 電極能夠看出阻抗值發生的改變情況。 Au/SPE 不會對大腸桿菌進行吸收,並且伴刀豆球蛋白會出現阻抗值低的情況。

