酸鹼滴定法
原理
根據酸鹼中和原理,用鹼液滴定試液中的酸,以酚酞為指示劑確定滴定終點,按鹼液的消耗量計算食品中的總酸含量。
試劑
所有試劑均為分析純;水為蒸餾水或同等純度的水(以下簡稱水),使用前須經煮沸、冷卻。
(1)0.1moL/L氫氧化鈉標準滴定溶液:按GB/T601配製與標定。
(2)0.01moL/L氫氧化鈉標準滴定溶液:量取100mL 0.1moL/L氫氧化鈉標準滴定溶液稀釋到1000mL。
(3)0.05moL/L氫氧化鈉標準滴定溶液:量取100mL 0.1moL/L氫氧化鈉標準滴定溶液稀釋 200mL。
(4)1%酚酞指示劑溶液:1g 酚酞溶於60mL95%乙醇中,用水稀釋至 100mL。
儀器、設備
組織搗碎機;水浴鍋;研缽;冷凝管。
試樣的製備
(1)液體樣品
不含二氧化碳的樣品:充分混勻,置於密閉玻璃容器內。
含二氧化碳的樣品:至少稱取200g樣品於500mL燒杯中,置於電爐上加熱邊攪拌至微沸,保持2min,稱量,用蒸餾水補充至煮沸前的質量,置於密閉玻璃容器內。
(2)固體樣品
去除不可食部分,取有代表性的樣品至少200g,置於研缽或組織搗碎機中,加入與試樣等量的水,研碎或搗碎,混勻,置於密閉玻璃容器內。
(3)固、液體樣品
按樣品的固、液體比例至少取200g,去除不可食部分,用研缽或組織搗碎機研碎或搗碎混勻,混勻,置於密閉玻璃容器內。
試液的製備
(1)總酸含量小於或等於4g/kg的液體試樣
將試樣用快速濾紙過濾,收集濾液用於測定。
(2)總酸含量大於4g/kg的液體試樣
取10~50g試樣,精確至0.001g,置於100mL燒杯中。用80℃熱蒸餾水將燒杯中的內容物轉移到250mL容量瓶中(總體積約150mL)。置於沸水浴中煮沸30min(搖動2~3次,使固體中的有機酸全部溶解於溶液中),取出,冷卻至室溫(約20℃),用快速濾紙過濾。收集濾液備測。
分析步驟
(1)取25.00~50.00mL試液,使之含0.035~0.070g酸,置於250mL三角瓶中。加40~60mL水及0.2mL1%酚酞指示劑,用0.1moL/L氫氧化鈉標準滴定溶液(如樣品酸度較低,可用 0.01moL/L或0.05moL/L氫氧化鈉標準滴定溶液)滴定至微紅色30s不褪色。記錄消耗0.1 moL/L氫氧化鈉標準滴定溶液的毫升數(V)。
同一被測樣品須測定兩次。
(2)空白試驗
用水代替試液。以下按分析步驟(1)操作。記錄消耗0.1moL/L氫氧化鈉標準滴定溶液的毫升數(V)。
分析結果
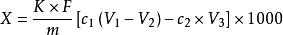
總酸總酸的含量以質量分數X計,數值以克每千克(g/kg)表示。
食品中總酸的測定式中:
c:氫氧化鈉標準滴定溶液的濃度(moL/L);
V:滴定試液時消耗氫氧化鈉標準滴定溶液的體積(mL);
V:空白試驗時消耗氫氧化鈉標準滴定溶液的體積(mL);
F:試液的稀釋倍數;
m:試樣的取樣量(g或mL);
K:酸的換算係數:蘋果酸,0.067;乙酸,0.060;酒石酸,0.075;檸檬酸,0.064;檸檬酸,0.070(含一分子結晶水);乳酸,0.090;鹽酸,0.036;磷酸,0.049。
計算結果精確到小數點後第二位。 如兩次測定結果差在允許範圍內,則取兩次測定結果的算術平均值報告結果。
允許差
同一樣品的兩次測定值之差,不得超過兩次測定平均值的2%。
電位滴定法
原理
本法根據酸鹼中和原理,用鹼液滴定試液中的酸,根據電位的”突躍”判斷滴定終點。按鹼液的消耗量計算食品中的總酸含量。
試劑
(1)所有試劑均為分析純;水為蒸餾水或同等純度的水(以下簡稱水),使用前須經煮沸、冷卻。
(2)pH 8.0 緩衝溶液;
(3)0.1moL/L鹽酸標準滴定溶液;
(4)0.1moL/L氫氧化鈉標準滴定溶液;
(5)0.01 或 0.05moL/L氫氧化鈉標準滴定溶液;
(6)0.05moL/L鹽酸標準滴定溶液。
儀器、設備
酸度計:pH0~14,直接讀數式,精度±0.1pH;玻璃電極和飽和甘汞電極;電磁攪拌器;組織搗碎機;研缽;水浴鍋;冷凝管。
試樣的製備
同酸鹼滴定法。
試液的製備
同酸鹼滴定法。
分析步驟
(1)果蔬製品、飲料、乳製品、酒、澱粉製品、穀物製品、調味品等:取20.00~50.00 mL試液,使之含0.035~0.070g酸,置於150mL燒杯中,加40~60mL水。將酸度計電源接通,待指針穩定後,用pH 8.0的緩衝溶液校正酸度計。將盛有試液的燒杯放到電磁攪拌器上。再將玻璃電極及甘汞電極浸入試液的適當位置。按下pH讀數開關,開動攪拌器,迅速用 0.1moL/L氫氧化鈉標準滴定溶液(如樣品酸度太低,可用0.01moL/L或0.05moL/L氫氧化鈉標準滴定溶液)滴定,並隨時觀察溶液pH的變化。接近終點時,應放慢滴定速度。一次滴加半滴(最多一滴),直至溶液的pH達到指揮終點。記錄消耗氫氧化鈉標準滴定溶液的毫升數(V)。
同一被測樣品須測定兩次。
(2)蜂產品:稱取約10g混合均勻的試樣,精確至0.001g,置於150mL燒杯中,加80mL水,
以按酸鹼滴定法分析步驟(1)操作。用 0.05moL/L氫氧化鈉標準滴定溶液以5.0mL/min的速度滴定。當pH到達8.5時停止滴加,然後一次加入10mL0.05moL/L氫氧化鈉標準滴定溶液。記錄消耗0.05moL/L氫氧化鈉標準滴定溶液的總毫升數(V)。立即用0.05moL/L鹽酸標準滴定溶液反滴定至pH為 8.2。記錄消耗0.05moL/L鹽酸標準滴定溶液的毫升數(V)。
同一被測樣品須測定兩次。
(3)空白實驗
分析步驟中(1)、(2)中的操作都須用水代替試液做空白試驗,記錄消耗氫氧化鈉標準滴定溶液的毫升數(V)。
各種酸滴定終點的pH:磷酸,8.7~8.8;其他酸8.3±0.1。
分析結果
總酸總酸的含量以質量分數X計,數值以克每千克(g/kg)表示。
食品中總酸的測定式中: c:氫氧化鈉標準滴定溶液的濃度(moL/L);
c:鹽酸標準滴定溶液的濃度(moL/L);
V:滴定試液時消耗氫氧化鈉標準滴定溶液的體積(mL);
V:空白試驗時消耗氫氧化鈉標準滴定溶液的體積(mL);
V:反滴定時消耗鹽酸標準滴定溶液的體積(mL);
F:試液的稀釋倍數;
m:試樣的取樣量(g或mL);
K:酸的換算係數:蘋果酸,0.067;乙酸,0.060;酒石酸,0.075;檸檬酸,0.064;檸檬酸,0.070(含一分子結晶水);乳酸,0.090;鹽酸,0.036;磷酸,0.049。
計算結果精確到小數點後第二位。
如兩次測定結果差在允許範圍內,取兩次測定結果的算術平均值報告結果。
允許差
同一樣品的兩次測定值之差,不得超過兩次測定平均值的2%。

