歷史
1. 1927年,Fréchet(1927)首先給出這一分布的定義。
2. 1933年,Rosin和Rammler在研究碎末的分布時,第一次套用了韋伯分布(Rosin, P.; Rammler, E. (1933), "The Laws Governing the Fineness of Powdered Coal", Journal of the Institute of Fuel 7: 29 - 36.)。
3. 1951年,瑞典工程師、數學家Waloddi Weibull(1887-1979)詳細解釋了這一分布,於是,該分布便以他的名字命名為Weibull Distribution。
定義
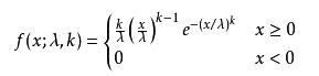
從機率論和統計學角度看,Weibull Distribution是連續性的機率分布,其機率密度為:
機率密度其中,x是隨機變數,λ>0是比例參數(scale parameter),k>0是形狀參數(shape parameter)。顯然,它的累積分布函式是擴展的指數分布函式,而且,Weibull distribution與很多分布都有關係。如,當k=1,它是指數分布;k=2且時,是Rayleigh distribution(瑞利分布)。
韋伯數
簡介
韋伯數是流體力學中的一個無量綱數,當不同的流體之間有交界面時,尤其在多相流中交界面的曲率較大時,它用來分析流體運動。
公式
它的計算公式為:W=ρvl/σ
其中ρ為流體密度 ( Kg/m),v為特徵流速( m/s ), l為特徵長度( m ), σ為流體的表面張力係數( N/m )。
韋伯數代表慣性力和表面張力效應之比,韋伯數愈小代表表面張力愈重要,譬如毛細管現象、肥皂泡、表面張力波等小尺度的問題。一般而言,大尺度的問題,韋伯數遠大於1.0,表面張力的作用便可以忽略。
套用
(1)工業製造
(2)研究生產過程和運輸時間關係。
(3)極值理論
(4)預測天氣
(5)可靠性和失效分析
(6)雷達系統
(7)對接受到的雜波信號的依分布建模。
(8)擬合度
(9)無線通信技術中,相對指數衰減頻道模型,Weibull衰減模型對衰減頻道建模有較好的擬合度。
(10)量化壽險模型的重複索賠
(11)預測技術變革
(12)風速
(13)由於曲線形狀與現實狀況很匹配,被用來描述風速的分布。

