簡介
面聲源也是實際生活中經常遇到的一種聲源。一個大型機器設備的振動表面,透聲的牆壁,均可以認為是面聲源。理想的面聲源是由無數點聲源連續分布組合而成的。如果面聲源的單位面積聲功率為W,各面積元噪聲的位相是隨機的,其合成聲級可按能量疊加方法求出。典型的理想面聲源包括無限大障板上平面圓形活塞、自由空間中無支撐的平面圓形活塞以及正方形和矩形聲源、曲面和錐形曲面聲源等。活塞式聲源是指一種平面狀的振子,當它沿平面的法線方向振動時,其面上各點的振動速度幅值和相位都是相同的,活塞式聲源是生活中常見的基本聲源 。
面聲源的傳播特性
圓形面聲源
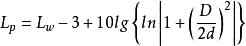
對於一個圓形無指向性面聲源,其聲源直徑為D,則距面聲源為d的中心軸上P點的聲功率級和聲壓級的關係為 :
圓形無指向性面聲源聲壓級隨距離的衰減特性
面聲源由公式的第三項可分析聲壓級隨距離的衰減特性,如右圖所示。即當距離d大於聲源直徑D時,聲壓級隨距離加倍衰減6 dB,和點聲源特性相同;當距離d小於聲源直徑D時,聲壓級衰減緩慢。
長方形面聲源
長方形面聲源幾何發散衰減特性圖對於長方形面聲源(b>a),中心軸線上的幾何發散衰減特性如右圖所示,虛線為實際衰減量,可近似如下 :
(1)當r<a/π時,幾乎不衰減,
(2 當a/π<r<b/π時,距離加倍衰減3 dB左右,類似線聲源衰減;
(3) 當r>b/π時,距離加倍衰減趨近於6 dB,類似點聲源衰減;
