儀器用途
1、探查覆蓋層厚度、劃分鬆散地層沉積層序
2、探查基岩埋深和基岩界面起伏形態,劃分基岩的風化帶
3、探測構造破碎帶
4、探測地下隱埋物體、古墓遺址、洞穴和採空區
8、探測非金屬地下管道
9、探測滑坡體的滑動帶和滑動面起伏形態
面波勘探的套用
研究層狀地層面波的頻散特徵,可以求得地層不同深度範圍內的彈性參數,這也就是面波測深方法依據的基本原理。利用人工激發的瑞雷波可以解決如下幾方面的具體淺層地質問題。
(1)地層劃分:通過對瑞雷波頻散曲線進行定性及定量解釋,得到各地層的厚度及彈性波的傳播速度。
(2)地基加固處理效果評價:通過實測地基加固前後的波速差異得到處理後的地基較處理前的物理力學性質的改善程度。
(3)岩土的物理力學參數原位測試:通過對實測資料的反演解釋,可以得到岩、土層的S波速度、P波速度及密度等參數。
(4)公路、機場跑道質量無損檢測:利用人工激發的高頻瑞雷波,可以確定路面的抗折、抗壓強度及路基的載荷能力,以及各結構層厚度。該方法用於機場跑道及高等公路的另一項意義是實現質量隨年代變化的連續監控。
(5)地下空洞及掩埋物的探測:當瑞雷波的勘探深度與地下空洞及掩埋物的深度相當時,頻散曲線會出現異常跳躍,據此可以確定其埋深及範圍,這是瑞雷波勘探的獨特優點之一。
(6)飽和砂土層的液化判別:根據一定場地內的飽和砂土層的埋深、地下水位的深淺等地質條件,可以計算出飽和砂土層的液化臨界波速值。
(7)地類型劃分:通過面積性的瑞雷波探測,再結合微動觀測,可以更可靠地劃分場地類型,或更大範圍的地震區劃。
(8)其他方面的套用:滑坡調查、堤壩危險性預測、基岩的完整性評價和樁基入土深度探測等。
面波測試特點
和已有的淺層折射波法和反射波法相比,瑞雷波的獨特之處是它不受地層速度差異的影響,折射波法和反射波法對於波阻抗差異較小的地質體界面反映較弱,不易分辨,尤其是折射波法要求下伏層速度大於上覆層速度,否則為其勘探中的盲層,瑞雷波法則不存在這類問題。但瑞雷波法的勘探深度受方法本身的限制,明顯不如前兩者,而縱橫向解析度又高於前兩者。
儀器設備
儀器為分體機,分為計算機和採集儀兩部分,計算機為配置的筆記本電腦,採集儀將採集的數據通道網口傳輸給計算機進行計算顯示。
面波儀儀器原理
面波測試在勘察領域內的,具有現場原位測試簡單、測試速度快、費用低以及對原結構物無破損等優點。瑞雷面波在目前的實際套用中,可套用於探查覆蓋層厚度、劃分鬆散地層沉積層序;探查基岩埋深和基岩界面起伏形態,劃分基岩的風化帶;探測構造破碎帶;探測地下隱埋物體、古墓遺址、洞穴和採空區;探測非金屬地下管道;探測滑坡體的滑動帶和滑動面起伏形態;地基動力特性測試;地基加固效果檢驗等。
瑞利面波是由英國學者Rayleigh於1887年首先在研究彈性介質中波動時發現的。隨著計算機技術的飛速發展及工程勘查的需要,近幾年瞬態瑞利面波勘探已被廣泛地用於查明工程區地下介質結構並進行地層劃分,對岩土體的物理力學參數進行原位測試,工業與民用建築的地基基礎勘察,地下管道及埋藏物的探測,地下空洞(如煤礦採空區等)、岩溶、古墓及廢棄礦井的埋深範圍探測,公路、機場跑道質量的無損檢測,水庫大壩中軟弱夾層的探測和加固效果評價及石油地震勘探套用該方法確定地表低速帶厚度及速度,為靜校正提供依據等領域。
瞬態面波法不同的是通過錘擊、落重乃至炸藥震源,產生一定頻率範圍的瑞雷波,再通過振幅譜分析和相位譜分析,把記錄中不同頻率的瑞雷波分離出來,從而得到一條Vr-f曲線或Vr-Kr曲線。根據現場所測瑞利波頻散曲線,可進一步分析得到成層地基結構中各層的厚度及剪下波速度,從而能反映結構的強度變化。
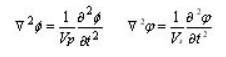
在地面施一適當的向激振力(可用大錘敲擊地面或吊高重物自由下落),地下介質中可產生縱波、橫波和瑞利波,可用如下的波動方程來描述它們的運動。

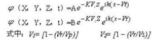
其中為質點位移場的勢函式,Vp和Vs分別為縱波和橫波的速度。對於平面波可得上式的一個解為:

K為波數,Vr為瑞利波速,A、B為常數。
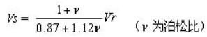
由上式可得到瑞利波傳播的二個特性:一是瑞利波振幅隨深度衰減,能量大致被限制在一個波長以內;二是由地面振動波的瞬時相位可確定瑞利波傳播的相速度。瞬態面波法即根據這二個特性,在相距一定距離的地面二點安置拾振器,接收面波振動,通過頻譜分析,做出波長——波速頻散曲線,從而算出地下土層的瑞利波速Vr。瑞利波速和橫波波速的關係為

當ν從0.25至0.5時,Vr/Vs從0.92至0.95。由此可將瑞利波波速換算成橫波波速。
瞬態多道瑞利波是在地面上沿著面波傳播的方向布置間距相等的多個拾振器,一般可為12道或24道。選擇適當的偏移距和道間距,以滿足最佳面波接收視窗和最佳探測深度。將多個拾振器信號通過逐道頻譜分析和相關計算,並進行迭加,得出一條頻散曲線,從而消除了大量的隨機干擾,信號中各頻率成分能量大為增強,使得地質體在頻散曲線上的反映更加突出,判斷準確性大大增強。
面波檢測步驟
1、出野外工作之前,應保證筆記本和採集儀有足夠的電量。
2、將面波電纜與儀器的“1—12”、“13—24”插座對接,並將檢查好的檢波器接在大線上。
3、將通訊電纜的一端接在儀器網口插座上,另一端接在筆記本電腦的網口上。
4、把觸發電纜連線到儀器的“觸發”插座上。
5、打開儀器電源開關。此時,儀器電源指示燈(紅燈)亮。
6、打開筆記本電腦後,需等待一分鐘左右的時間,是儀器配置採集設定完成後,打開採集軟體進入採集的工作界面。顯示連線成功後,即可正式開始測試。
四川黑郎拉卡面波項目使用注意事項
1、面波測試儀系精密貴重儀器,在使用、運輸、保管和維護方面應按相關的規程規範和要求辦理。
2、當用大錘作為震源時,需要用錘擊開關來觸發。為了保證有效觸發,將錘擊開關綁到錘把上時應注意:
①將錘擊開關的粗糙面向上,置於離錘頭約0.5~1厘米處;
②用膠帶將其牢固地綁緊在錘把上,如果綁紮不緊會造成觸發不靈。
3、當用落重作為震源時,可採用檢波器觸發。將用作觸發的檢波器插入落點附近,把信號延長線一端的兩根線分別與檢波器夾子上的兩個金屬片相連,信號延長線的另一端與觸發插頭相連,此時無須區分正負極。
4、檢波器的夾子有寬、窄之分,將檢波器與電纜相連時,要注意與電纜線上接口的寬窄相對應。
5、面波電纜每條為12道,每一套中的兩條電纜規格一樣,道序號為從遠離電纜插頭起為1、2、3……12道排序。儀器端1-12和13-24接口線序不同,兩者不能隨意更換,現場測試時需要主要認真區別。

6、儀器為分體機,野外採用筆記本連線主機操作,建議實驗前將筆記本電池充滿,同時可以攜帶筆記本外掛電池。
7、試驗前將各接線連好後,開機,需等待1分鐘讓主機更新配置完成後,再打開採集軟體進行採集,否則容易出來通訊出錯的問題。如果測試過程中網線脫落,直接將網口連上去就可以繼續試驗。
