定義
非齊次布爾網路
非齊次布爾網路
非齊次布爾網路
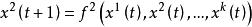
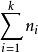
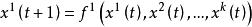
非齊次布爾網路考查一個布爾網路,將它的結點分成k組{ ,…, },其中,當 更新它的狀態值時,它可以使用 ,S<i的當前狀態。這樣,其網路動態方程變為
非齊次布爾網路
非齊次布爾網路……
非齊次布爾網路
非齊次布爾網路
非齊次布爾網路
非齊次布爾網路這裡 ∈ , =n。這樣的布爾網路稱為非齊次布爾網路。
非齊次布爾網路轉換為齊次布爾網路
非齊次布爾網路
非齊次布爾網路
非齊次布爾網路非齊次布爾網路可以轉換為齊次布爾網路,我們用一個簡單例子來說明這一點。
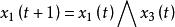
考查系統
在向量形式下有
非齊次布爾網路
非齊次布爾網路
非齊次布爾網路
非齊次布爾網路記 ,第一個方程可寫成
非齊次布爾網路
非齊次布爾網路
非齊次布爾網路
非齊次布爾網路同理,
非齊次布爾網路容易算出
非齊次布爾網路
非齊次布爾網路
非齊次布爾網路故考查系統方程可表示為為
非齊次布爾網路轉為邏輯形式為有
非齊次布爾網路
非齊次布爾網路
非齊次布爾網路
