基本概念
隨著發電機單機容量和電網容量的不斷擴大,電力系統及發電機組對勵磁控制在快速性、可靠性、安全性等方面提出了更高的要求,如更高的勵磁調節性能、更多和更靈活的控制、限制、報警等附加功能等。而且對勵磁系統而言,除了要求勵磁裝置維持發電機電壓水平外,還要求它對電力系統動態和暫態穩定起作用。因此有必要引入如電力系統穩定器,非線性最優控制的控制方式可以充分發揮勵磁控制系統在電力系統中的重要作用,更加適合生產實際的套用。
非線性勵磁控制即用非線性的控制方式控制勵磁裝置。從勵磁調節器的控制規律的發展來看,大體經過了四個發展階段:單變數控制階段,多變數控制階段,非線性控制階段,智慧型控制階段。電力系統是一個巨維數的典型動態大系統,它具有強非線性、時變性,對於非線性系統,為了進一步提高電力系統在大幹擾下的穩定性,採用非線性控制勢在必行。
非線性勵磁控制策略
為提高調節器的電壓調節能力,通常採用的方法是在傳統的非線性勵磁控制策略的基礎上,增加電壓反饋的部分,這樣就帶來了新的問題,即原來的控制策略是最優的,而在增加了電壓的反饋後,改變了原有的結構,卻沒有在此基礎上再次進行設計,不能夠發揮出非線性控制的優勢所在。另外,在引入電壓反饋後,還需判斷閉環系統的穩定性,增加了使用中的難度。
非線性控制系統的設計原理方法就是通過坐標變換和引入虛擬反饋把原非線性系統轉換為一完全可控的線性系統,並針對該線性系統求解。在求解的過程中,輸出函式h(x)在坐標變換的過程中起著重要的作用,它直接影響線性化後的線性狀態方程的形式,從而影響受控系統的動態、靜態及暫態特性。那么通過改變系統的輸出函式,同時在構造線性系統時,通過坐標變換將機端電壓引入線性方程即可滿足電壓調節的要求。
輸出函式的選取,需要同時滿足以下幾個方面的要求:
(1)所建立的非線性最優模型要能精確地描述同步電機運行中所有擾動的動態過程;
(2)對電機的控制考慮有一定的提前量,同時考慮在實際系統中狀態量的量測;
(3)考慮引入電壓反饋。
非線性勵磁控制方法
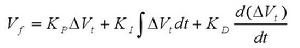
PID勵磁控制規律
PID控制器是一種線性控制器,PID勵磁控制方式的傳遞函式就為:
非線性勵磁控制
非線性勵磁控制
非線性勵磁控制
非線性勵磁控制
非線性勵磁控制
非線性勵磁控制從系統的穩定性、回響速度、超調量和穩態精度等各方面特性來考慮,比例係數 的作用在於加快系統的回響速度,提高系統的調節精度。 越大,系統的回響速度越快,系統的調節精度越高,但是由於 在系統的動態過程中保持不變,積分時間常數 的作用在於消除系統的穩態誤差。微分時間常數 的作用在於改善系統的動態特性,微分作用總是抑制偏差向任何方向變化,對偏差的變化提前制動。
NEC+PID勵磁控制
提高系統穩定性的一種方法是運用狀態反饋的方法來獲取最優控制規律。NEC 控制則是在LOEC(線性最優勵磁控制方式)的基礎上發展而來,它是將系統非線性模型變換成線性系統之後,再運用線性系統理論來進行分析,所得到的控制規律極大的提高了系統在大幹擾情況下的穩定性。
對於單機無窮大系統,當發電機勵磁為快速可控矽勵磁方式時,發電機非線性勵磁控制原理圖如圖1所示:
非線性勵磁控制圖1
改進後的勵磁控制規律由兩部分組成。PID部分作為電壓調節環節,它是一個電壓反饋閉環控制系統,其參數的選擇可完全按照對系統電壓的要求進行整定,電壓特性可以得到保證,NEC部分作為一種多狀態量的控制方法增加了整個系統的阻尼,其對於電力系統的穩定的作用也正是它的優勢所在,這部分的設計還可考慮在發電機穩態運行時輸出為零,即可在 NEC控制規律中增加隔直環節。由於這兩個部分對系統的作用都是使系統趨於穩定,所以這種新型的控制規律能夠增強整個系統的穩定性。
非線性微機勵磁控制器
微機勵磁系統
由於由微處理器構成的工業控制系統可靠性的不斷提高,同步發電機組採用微機勵磁調節器已成為發展趨勢,它具有調節準確、精度高,線上改變參數方便、可靠性高、通訊方便硬體簡單、便於更新換代等優點。勵磁系統一般由兩部分組成:一部分用於向發電機的磁場繞組提供直流電流,以建立直流磁場,通常稱作勵磁功率輸
出部分。另一部分用於在正常運行或發生故障時調節勵磁電流,以滿足安全運行的需要,通常稱作勵磁控制部分。圖2就是根據電廠的的實際要求提出的基本的勵磁控制系統的總體框圖。
非線性勵磁控制非線性勵磁控制器的硬體結構
非線性勵磁控制器採用嵌入式結構,系統硬體結構如圖3所示。
非線性勵磁控制(1)微控制器
為了提高勵磁控制的性能和運行指標,勵磁控制器的控制方法變得越來越複雜,同時還附加了許多的控制功能。採用新的控制器核心己經成為微機勵磁控制器的一種發展趨勢。DSP 是 Digital signal Proeessor(數位訊號處理器)的縮寫,它是一種能夠快速進行乘法和加法運算、適用於高速數位訊號處理的單片大規模積體電路。它的出現使得數位訊號處理技術從理論研究進入到實際套用階段。
(2)I/O 通道
I/O 通道的主要任務就是將採集到的模擬量和開關量變換成 DSP 所能接收的信息形式,以便 DSP能夠進行相應計算、判斷,並做出相應的控制。
(3)同步脈衝觸發單元
勵磁控制器的脈衝觸發功能通常都是由單片機或專用硬體電路來實現。可程式晶片尤其是CPLD/FPGA(複雜可程式邏輯器件/現場可程式門陣列)具有通用性強、靈活性好的特點。此外,使用 CPLD/FPGA 的控制器可以在不改變主電路的前提下通過重新編程就可以獲得不同的控制方式,從而提高和升級系統的性能。
