簡介
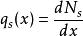
圖1 靜水剪力曲線與靜水載荷曲線的關係船體梁在靜水中受到的剪力沿船長分布狀況的曲線稱為靜水剪力曲線。
作用在船體梁任意剖面上的靜水剪力計算公式如下:
靜水剪力曲線其中,N表示靜水剪力,q表示靜水載荷。
可見,靜水載荷曲線的一次積分是靜水剪力曲線。其關係如圖1。
由於船體兩端是完全自由的,因此,首、尾端點處的剪力和彎矩應為零,亦即剪力和彎矩曲線在端點處是封閉的。
其次,由於載荷、剪力之間有下列微分關係:
靜水剪力曲線所以,零載荷點與剪力的極值相對應,零剪力點與彎矩的極值相對應。在大多數情況下,載荷在船中前和中後大致上是差不多的,所以剪力曲線大致是反對稱的,零點在靠近船中的某處,而在離首、尾端約船長的1/4處具有最大正值或負值。此外,由於兩端的剪力為零,即彎矩曲線在兩端的斜率為零,所以彎矩曲線在兩端與縱坐標軸相切。在計算過程,常常利用這些性質來檢查計算結果是否正確。
靜水載荷
載荷曲線等於重力曲線縱坐標與浮力曲線縱坐標之差,用q(x)表示,即q(x)=p(x)-b(x)。
重力曲線
船舶在某一計算狀態下,描述船舶所受重力沿整個船長分布狀況的曲線,稱為重力曲線。在手工計算中,常將船舶各項質量按靜力等效原則分布到相應的20個理論站距內 ,作出近似的階梯形質量分布曲線 ,並以此來代替真實的重力分布曲線。
浮力曲線
圖2船舶在某一裝載情況下,描述浮力沿船長分布狀況的曲線稱為浮力曲線。浮力曲 線通常由邦戎曲線、靜水力曲線及船舶的質量質心等資料確定,其關鍵在於靜水平衡的計算,即船舶在靜水中艏艉吃水的確定。靜水平衡的計算步驟如下。
①從靜水力曲線圖中查出如下數據:平均吃水d(m),浮心距船中的距離x(舯前為正,m),縱穩心半徑R(m),水線面面積A(m),漂心距船中的距離x(舯前為正,m),重心距船中距離x(舯前為正,m)。
靜水剪力曲線②若,則可確定船舶縱傾後的第一次近似艏、艉吃水:
靜水剪力曲線艏吃水——
靜水剪力曲線艉吃水——
③若不能滿足下面的精度要求,則應作第二次近似計算:
靜水剪力曲線
靜水剪力曲線④一般說來,平衡計算一直要進行到達到下述要求,才能終止,即:
靜水剪力曲線
靜水剪力曲線⑤靜水平衡計算完畢後,就可利用邦戎曲線求得浮力曲線(見圖2)。
套用實例
通過以理論分析及對4,990噸級油船的具體計算及比較,得到以下結論:
①不同船舶、不同工況下的靜水剪力、靜力彎矩分布值及最大值相差較大,不同工況下的最大靜水剪力、彎矩位置也略有不同,需要仔細計算;
②由於靜水載荷、靜水剪力、靜水彎矩是積分關係,因此零載荷點與剪力的極值相對應;而艏、艉端點處的剪力與彎矩應為零;
③一般情況下,載荷在船中前和中後大致上是差不多的,所以剪力曲線大致是反對稱的,剪力零點在靠近船中的某處,而在離艏、艉端約船長的1/4處剪力具有最大正值或負值。
