靈敏度方法的基本思想可以歸結如下。
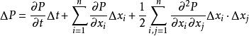
靈敏度方法我們可以根據定價理論和方法先將資產組合的價值映射為一些市場風險因子的函式,並給出函式的具體表達形式。於是,假設資產組合的價值為P,收到n個市場風險因子x(i=1,2,……,n)的影響,利用定價理論可得到的資產組合價值關於市場風險因子的的映射關係為P=(t,x,……,x),再利用Taylor展式近似地得到資產組合價值隨市場因子變化的二階形式,即
靈敏度方法
靈敏度方法
靈敏度方法
靈敏度方法
靈敏度方法
靈敏度方法
靈敏度方法
靈敏度方法其中,,表示市場風險因子的變化,表示資產組合對時間t的靈敏係數,和分別表示資產組合對風險因子的一階和二階靈敏度,。
靈敏度方法常見的靈敏度指標主要是久期、凸性、值以及主要套用於金融衍生工具風險度量的Delta,Gamma,Theta,Vega,Rho等等。
