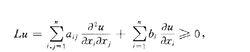
霍普夫邊界點定理(Hopf boundary point theo- rem)有關二階橢圓型方程的一個重要性質.這類 方程(或不等式)的非常數解在達到最大值的邊界點 上的外法嚮導數必為正值.設u在區域月中滿足不 等式
霍普夫邊界點定理在月中是一致橢圓型的.假設在月中u毛M,在邊 界點P上u=M,且P位於月中球K;的邊界上.如 果u在,}}JP中連續,並且在P點上外法嚮導數 }7u/}7v存在,那么在點P有}7u/}7v}0,除非u=M.利 用這個霍普夫邊界點定理可以推出二階橢圓方程的 強極大值原 理.
