簡介
電子電流(electronic current)俗稱電流。由於自由電子的運動所產生的電流,而且自由電子的運動方向冾和電流方向相反。
電流(英語:electric current)是電荷的流動。電流的大小稱為電流強度,是指單位時間內通過導線某一截面的電荷,每秒通過1庫侖的電荷量稱為1安培。安培是國際單位制七個基本單位之一。安培計是專門測量電流的儀器。
有很多種承載電荷的載子,例如,導電體內可移動的電子、電解液內的離子、電漿內的電子和離子、強子內的夸克。這些載子的移動,形成了電流。
有一些效應和電流有關,例如電流的熱效應,根據安培定律,電流也會產生磁場,馬達、電感和發電機都和此效應有關。
符號
電子電流
電子電流
電子電流
電子電流電流慣例上的符號是,來自法語 intensité de courant,意為電流強度。符號最早是由法國科學家安德烈-馬里·安培(André-Marie Ampère) 使用,電流單位安培也因此來命名。此標記法由法國流傳到英國,成了那裡的標準,但在1896年時仍有期刊用表示電流,而不是用現在常見的。
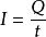
公式與單位
電流的方向與正電荷在電路中移動的方向相同。實際上並不是正電荷移動,而是負電荷移動。 電子流是電子(負電荷)在電路中的移動,其方向為電流的反向。電流強度可以用公式表達為
電子電流
電子電流
電子電流
電子電流其中,為電流(單位是安培),為電量(單位是庫侖),為時間(單位是秒)。
物理概念
在各種介質內的電流的物理性質
金屬
在固態金屬導體內,有很多可移動的自由電子。雖然這些電子並不束縛於任何特定原子,但都束縛於金屬的晶格內。甚至於在沒有外電場作用下,因為熱能,這些電子仍舊會隨機地移動。但是,在導體內,平均淨電流是零。挑選導線內部任意截面,在任意時間間隔內,從截面一邊移到另一邊的電子數目,等於反方向移過截面的數目。如同喬治·伽莫夫在他發表於1947年的科學暢銷書《One, Two, Three…Infinity》談到:
金屬物質與其它物質不同的地方,在於其最外層的電子很鬆弛地束縛於原子,電子能夠很容易地逃離原子。因此,滿布於金屬的內部,有很多未被束縛的電子,毫無目標地遊動,就好像一群無家可歸的醉漢。當施加電壓於一根金屬導線的兩端,這些自由電子會朝著電勢高的一端奔去,這樣,形成了電流。一縷一縷銅絲共同組成傳導電流的電線。
給予一個直流的電壓源,例如,電池,當連線一根導線於它的兩個接頭時,電壓源會施加電場於整個導線。在連線動作完成的同時,導線的自由電子會感受到電場力,因而往正極接頭漂移。在這裡,自由電子是電荷載子。假設在一秒內,一庫侖(6.242 × 10個電子)的電荷漂移過導線的任意截面,則電流為一安培。
電子電流對於穩定的電流,電流量可以用以下方程計算:
電子電流
電子電流
電子電流其中,是傳輸的電荷,是時間。
更一般地,電流可以表達為電荷隨時間的變化率,也就是電荷對於時間的導數:
電子電流其它介質
在固態金屬內,電荷流動的載子是電子,從低電勢流到高電勢。在其它種介質內,任何電荷載子的 載子流都可以形成電流。
在真空內,可以製作一個離子束(ion beam)或電子束。這也是一種電流。在有些傳導性物質內,電流是由正電荷載子和負電荷載子共同形成的。在像質子導體(proton conductor)一類的物質內,電流可能完全是由正電荷載子形成。例如,在水溶液內,電解質會導電,電流內的正價氫離子(質子)朝著某方向流動,負價的硫酸根離子朝著反方向流動。在電花(spark)或電漿內的電流內有電子、正離子、負離子。在半導體內,可以視電流為正值空穴(一個呈電中性的原子,由於少了一個負電的電子,所以那裡就會呈現出一個正電性的空位)的流動。這種半導體稱為 p型半導體。
電流密度
電流密度
電流密度是一種度量,以矢量的形式定義,其方向是電流的方向,其大小是單位截面面積的電流。採用國際單位制,電流密度的單位是“安培/平方米”。用方程表達,
電子電流
電子電流
電子電流
電子電流其中,是電流,是電流密度,是截面面積矢量。
電子電流
電子電流根據歐姆定律的另一種形式,電流密度與電場和物質的電導率的關係可以表達為
電子電流漂移速度
在導體內,可移動的電荷載子不停的隨機移動,就像氣體的粒子。為了要有淨電流,電荷載子移動的平均漂移速度必須不等於零。電子是金屬的電荷載子。電子移動的路徑沒有任何規律,從一個原子撞到另一個原子,但大致朝著電場的方向漂移。它們漂移的速度可以由以下方程給出:
電子電流
電子電流
電子電流
電子電流
電子電流
電子電流其中,是電流,是單位體積的載子數目(載子密度),是導體的截面面積,是漂移速度,是每一個載子的電荷量。
固體內的電流通常流動地非常慢。例如,假設截面面積為0.5 mm的銅線,載有電流5安培。那么,其電子的漂移速度大約為1毫米每秒。再舉一個例子來比較,在陰極射線管的近真空內,電子移動的速度大約為光速的十分之一。
呈加速度運動中的電荷,會產生電磁波。因此,隨著時間變化的電流,會產生電磁波,以非常高的速度,傳播於導體之外。電磁波傳播的速度通常相當接近光速,比漂移速度快很多倍。這事實的相關理論可以由麥克斯韋方程組推導出。在電線里的交流電流,可以從源頭傳輸電力到很遠的負載點,雖然,在電線里的電子只來來回回地移動很少的距離。
電磁波的傳播速度和自由空間的光速的比例,稱為速度因子(velocity factor),與導體的電磁性質和外面包裝的絕緣體、形狀、尺寸等等有關。
漂移速度、傳播速度、隨機運動速度,這三種速度可以類比於氣體的三種速度。比較慢的電子漂移速度類比於風速。比較快的電磁波傳播速度類比於氣體的音速。電子的隨機運動類比於氣體粒子的熱速度(thermal velocity)。
電磁性質
根據安培定律,電流會產生磁場。
導線所載有的電流,會在四周產生磁場,其磁場線是以同心圓圖案環繞著導線的四周。
使用電流表可以直接地測量電流。但這方法的缺點是必須切斷電路,將電流表置入電路中間。如果改用間接測量電流四周的磁場的方法,也可以測量出電流強度,同時不需要切斷電路。套用這方法來測量電流的儀器有霍爾效應感測器、電流鉗、變流器、羅果夫斯基線圈。
歐姆定律
歐姆定律
歐姆定律闡明,通過一個理想電阻器的電流,等於電阻器兩端的電壓除以電阻:
電子電流
電子電流
電子電流
電子電流其中,是電流(單位是安培),是電壓(單位是伏特),是電阻(單位是歐姆)。
常規
電流方向
簡圖表示出常規電流的流向和電子的流向。正電荷(紅線)從電源的正極移動到負極,而電子(綠線)則從負極移動到正極。
正電荷的流動給出的電流,跟負電荷的反方向流動給出的電流相同。因此,在測量電流時,流動的電荷的正負值通常可以忽略。根據常規,假設所有流動的電荷都具有正值,稱這種流動為 常規電流。常規電流代表電荷流動的淨效應,不需顧慮到載子的電荷的正負號是什麼。
在固態金屬內,正電荷載子不能流動,只有電子流動。由於電子載有負電荷,在金屬內的電子流動方向與常規電流的方向相反。
電路內的電流參考方向
當解析電機電路問題時,通常,工程師並不知道電流通過一個電路元素的真實方向。對於電路的解析,這並不重要,工程師可以任意地設定每一個電流變數的參考方向。當電機電路問題解析完畢後,通過電路元素的電流可能會擁有正值或負值。負值電流意指著,通過電路元素的電流的真實方向,相反於參考方向。
交流和直流
交流(AC)和直流(DC)是二種不同的電氣訊號型式,AC是變動電流(alternating current)的簡稱,原意是指周期性正負變化的電流,DC是直接電流(direct current)的簡稱,原意是指方向固定不變的電流,不過除了形容電流外,也常用交流和直流來形容電壓。
直流
直流
直流(DC)原來的英文名稱是galvanic current,也稱原義是指電荷的單向流動,一般是由像電池、太陽能電池等設備產生。直流電流可以在導體(例如電線)中流動,也可以在半導體、絕緣體中流動,甚至在真空也可以以離子束的方式流動。在直流電中,電子以固定的方向流動,和交流電不同 。
交流
交流電
交流(AC)原義是指電荷的運動會周期性的變換方向,和直流不同,直流電流的電荷只會單方向流動。一般商業、家用及工業用電多半是交流電,例如一般插座提供的電就是交流電。最常見的交流電波形是正弦波,但在特殊套用中也會出現其他的波形,像三角波或方波。像調幅廣播及調頻廣播的訊號也是交流的例子之一,其目的是在利用調變技術,在交流訊號中加入要傳遞的訊號後傳遞,而接收端可以再還原為原始的訊號。
交流訊號有周期性的變化,其周期的倒數即為頻率,常見的電源頻率為50或60Hz。有些交流訊號的頻率為定值,也有些不是定值,像調頻廣播的頻率就不是固定值 。
自然發生形式
在大自然可以觀測到的電流有閃電和太陽風等等例子。太陽風是從恆星上層大氣射出的超高速(帶電粒子)流,會造成極光(北極光和南極光)。人造的電流包括傳導電子的流動於金屬導線、高壓電線的長距離傳輸電力、電機設備內的細小導線、電路板的金屬線路等等。在電子學裡,電流的形式包括電子的流動通過電阻器、電子的移動通過真空管的真空、離子的流動於電池或神經細胞、空穴的流動於半導體 。
電擊安全須知
使用電的時候,必須特別注意到用電安全,才不致遭到電擊意外。因為接觸電源,身體的某一部位有電流通過時,我們說此部位遭到電擊。電流通過身體的流量大小決定了電擊的後果。這與接觸的程度、身體的部位、電源的電壓等等,有很大關係。雖然微小的電擊只會產生刺痛感覺,大幅度的電擊,假若接觸到皮膚,會造成嚴重灼傷,假若通過心臟,會造成心搏停止。電擊的後果因人而異。
電器過熱也很危險。超過負載限度的高壓電線時常會造成火災。將一個很小的三號電池跟金屬錢幣放在口袋裡,很可能會引起短路,使得電池和錢幣快速加熱,因而造成灼傷。鎳鎘電池、鎳氫電池、鋰電池,這三種電池特別危險,由於內電阻很低,它們可以給出很大的電流 。

