極化概念簡介
原子或分子極化一般在不加電場的情況下。構成電介質的原子或分子中的正負電荷重心重合,巨觀上不顯電性。當把電介質置於電場中時,原子或分子中的正電荷順著電場方向移動,負電荷逆著電場方向移動,使正負電荷的重心分離。便在電介質中形成了感應偶極矩。一般把這種現象稱為原子或分子極化。上圖表示了在外施電場作用下電介質中的原子或分子中正、負電荷的這種分布狀態。圖中電介質兩個表面所積累的正負電荷稱為極化電荷。如設電介質表面積為A,厚度為d,極化電荷面密度為σ‘,則電介質兩個表面積累的正、負電荷所形成的感應偶極矩:
電子極化方向由負電荷指正電荷,單位為c·m或德拜(1德拜等於3.33×10 c·m),由於這個物理量與電介質的幾何參數有關,用它來表示電介質極化的大小並不十分方便。為此,引入一個新的物理量-極化強度,它的具體含義是電介質單位體積中電偶極矩的向量和,如用 P表示極化強度,則:
電子極化式中ΔV=Ad為電介質的體積。
依據原子或分子在靜電場中的分布,極化主要可以分成以下三類:電子極化、原子極化和偶極子極化。在下表中表示了這三種極化的模型圖。
電子、原子和偶極子極化電子極化和原子極化都是電場作用下正、負電荷發生相對位移產生的.所以稱為位移極化。偶極子極化是由於電場作用下固有偶極子發生轉向形成的,所以又稱為轉向極化。
電子極化機理
如果材料受到一個外電場E的作用,原子核和電子云的正、負電荷沿相反方向發生位移,從而產生極化。這樣,原子就成為一個暫時的或者感應的偶極子。所有的材料,不論其固態下為何種類型的鍵合,都能發生這種極化。如果去掉外加電場,極化隨之消失。由於外施電場而產生偶極矩稱為感應偶極矩(induced dipole moment)。在這種形式的極化中,電場使正、負電荷相互分離的作用力與由於正、負電荷間互相吸引的庫侖引力(束縛力)相互平衡而產生偶極矩。這兩種力都是電作用力,具有與溫度無關的特點。
固體中的極化機制電子極化率的計算
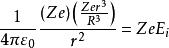
電子極化在上圖中給出了電子極化模型。在不加電場的情況下,原子序數為Z的原子中的電子云在半徑為R的球內均勻分布,電子云的負電荷重心與原子核的正電荷重心重合,不顯電性。加電場E後,假定電子云分布不變,只是與原子核產生相對位移r,這種情況下,作用在原子核上的力有兩個:一個是電場力ZeE;另一個是半徑為r的球內所容納電子電荷與原子核的電荷Ze間的庫侖力。二者平衡時下式成立:
電子極化式中,E為作用在電子上的電場強度,由於它有別於外施電場強度E,所以把它稱為內電場強度,一般用E表示。整理上式得半徑r:
電子極化根據感應偶極矩μ的定義,可得:
電子極化由上式可知,感應偶極矩與電場強度E成正比,所以可將上式改寫為:
電子極化式中α稱為電子極化率,它表示在單位電場強度作用下,每個分子或原子在電場E方向感應的偶極矩。比較上兩式易知:
