簡介
電動振動台電動振動台(英文:electrodynamicvibrationgeneratorsystem)該類型設備用於發現早期故障,模擬實際工況考核和結構強度試驗,產品套用範圍廣泛、適用面寬、試驗效果顯著、可靠。
歷史發展
西方在20世紀80年代以前,1噸推力以上的電動振動台對中國實行禁運,20世紀90年代,5噸以上的仍實行禁運。
中國江蘇東菱公司1995年開始創業,自主研發出1噸、5噸、10噸,直至2007年的35噸級電動振動台和2012年的50噸級電動振動台。
工作原理
電動振動試驗系統的工作原理類似於揚聲器。即通電導體在磁場中受到電磁力的作用而運動。當振動台磁路中的動圈通過交變電流信號時產生激振力磁路中即產生振動運動。
專業術語
運動部件:電動振動台運動部頻率範圍:振動試驗系統在額定激振力下,最大位移和最大加速度規定的頻率範圍。
額定推力:振動試驗系統能夠產生的力(單位:N);在隨機振動時該力規定為均方根值。
最大位移:振動試驗系統能夠產生的最大位移值。該值受振動台機械運行限制,通常用雙振幅表示(單位為:mmp-p).
最大加速度:振動試驗系統在空載條件下能夠產生的最大加速度值(單位:m/s2)
最大速度:振動試驗系統所產生的最大速度(單位:m/s2)。
最大載荷:振動檯面上最大載入重量(單位:kg).
運動部件:電動振動台運動部件是由台面、動圈(含骨架)、動圈的懸掛連線件、柔性支承、電器連線件和冷卻連線件組成的運動系統。
容許偏心力矩:振動台面導向系統允許的最大偏心力矩值。
計算方法
試驗所需激振力的計算
振動試驗所需的激振力可按總的載入質量和最大試驗加速度進行計算:
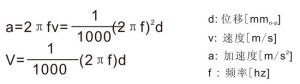
1、振動試驗有四個基本單位
推力F[N]、加速度A[m/s2]、速度V[m/s]、和位移D[mmop]。
當總質量為m(單位:kg),試驗加速度a(單位:m/s2)。正弦振動時所需振動試驗系統的激振力為:
F 推力[N]
F=ma M 質量[kg]
A 加速度[m/s2]
2、運動部件質量
若垂直擴展台面或水平滑台面(含連線頭)質量:m1
動圓質量:m2
氣候試驗箱連線軸質量:m3
夾具質量:m4
試件質量:m5
試驗加速度為:a
則振動試驗所需要的激振力可根據F=ma式計算如下:
F=(m1+m2+m3+m4+m5)a
3、位移、速度和加速度之間的關係
在正弦振動的情況下,頻率(Hz)、位移d(mmo-p單振幅)、速度V(m/s)和加速度a之間的關係如下
計算公式振動台與環境試驗箱連線示意圖
振動台與環境試驗箱連線示意圖 主要用途
電動振動台廣泛適用於國防、航空、航天、通訊、電子、汽車、家電等行業。
最新產品
世界最大單台推力電動振動台2012年9月27日在蘇州召開的“創新驅動發展成就展暨軍民融合交流大會”上,中國擁有自主智慧財產權的世界最大單台推力電動振動台在蘇州問世。
蘇州東菱科技製造的50噸級電動振動系統,小到汽車的發動機,大到火箭、衛星,甚至是空間站,在投入使用前,都需要在這個平台上進行振動試驗,而它50噸的最大推力也是創造了新的世界第一。
50噸超大型電動振動試驗系統獲得成功。該系統主要由500kN(50噸)超大推力的電動振動台、4500mm×4000mm超大尺寸的水平滑台及700kW超大功率的功率放大器組成。
這台推力達到50噸的大型電動振動台由蘇州東陵振動試驗儀器公司獨立研發,已通過中國計量科學研究院的校準驗證。
公司研究團隊在50噸振動台的研發過程中,相繼攻克了動圈的一階軸向共振頻率控制、驅動線圈繞組冷卻效果控制、內短路環冷卻效果控制、功率放大器與振動台阻抗匹配等關鍵技術難關。與國外單台最大推力電動振動台相比,新問世的振動台在最大正弦力、最大位移、最大隨機力等5項關鍵技術指標上領先,與國外單台最大推力的日本35噸振動台相比,全部8項主要技術指標中有5項超過、3項持平。
在產品故障失效事件中,30%的事件是由振動引起的。因此,振動試驗成為預計產品的振動特性以及檢驗產品性能及其可靠性的必不可少的技術手段。
在單台50噸電動振動器問世之前,國內外為滿足振動試驗需求,採取兩台或多台振動台並機激振的方式來解決單台振動台激振推力不足的難題。並機系統有諸多先天性缺陷,是一種推力達不到情況下的權宜之策。多台並機結構需要在多台小推力的振動台頂部附加一個大尺寸、大質量的公共台面,附加台面易引起台面振型模態的變化、大幅降低台面運動的均勻度指標等試驗問題,從而使整個振動試驗系統的有效推力與可靠性大幅降低。
該公司於2008年研製出35噸級電動振動台,打破了歐美對該設備的技術壟斷與禁運封鎖,成為當時世界上最先進的電動振動台。中國工程院院士王子才表示,50噸電動振動台部分指標已經達到並超過國際先進水平,“讓國際為之振動”。

