運算原理
零維燃燒模型又稱單區模型(Single-Zone Model)。它是通過對大量的燃燒放熱過程的統計分析,找出規律性,用經驗公式或曲線擬合的方法,建立一種表達燃燒放熱過程參數間的經驗關係式,將複雜的燃燒過程簡化表達成幾個特徵參數間的關係。
假設條件
零維模型是在燃燒模擬研究的早期發展起來的,其對發動機缸內過程採用了均勻性假設:系統內各點的熱力狀態相同、化學成分相同,即系統內各參數不隨著空間坐標而變化,只隨時間 t 或者曲軸轉角而變化,故稱為“零維系統”
公式表述
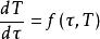
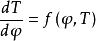
零維系統內的狀態變化可用常微分方程來描述:
零維燃燒模型或者
零維燃燒模型套用特點
優點
由於常微分方程的數值求解較容易,所以發動機性能模擬計算採用零維模型很方便。
缺點
對發動機排放物的形成無能為力,此外零維模型計算的準確性依賴於經驗係數的選取是否得當。

