性質
因其正負電平的幅度相等、極性相反,故當“1”和“0”等機率出現時無直流分量,有利於在信道中傳輸,並且在接收端恢覆信號的判決電平為零值,因而不受信道特性變化的影響,抗干擾能力也較強。
頻譜特性
雙極性信號
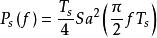
雙極性信號其功率譜包含離散譜和連續譜兩部分,連續譜總是存在,離散譜在等概分布時不存在。根據離散譜可以確定隨機序列是否有直流分量和定時分量。信號是高度為1的不歸零矩形脈衝時,,若信號是高度為1占空比為0.5的歸零矩形脈衝時,。
誤碼分析
雙極性信號
雙極性信號
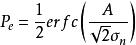
雙極性信號對於二進制雙極性信號,假設它在抽樣時刻的電平取值為+A或-A(分別對應信碼“1”或“0”)。則在等概分布情況下二進制基帶系統的總誤碼率為,可見,在傳送機率相等且在最佳門限電平下,雙極性基帶系統的總誤碼率僅依賴於信號峰值A和噪聲均方根的比值,而與採用什麼樣的信號形式無關。且比值比值越大,Pe越小。
套用
在ITU-T制定的V.24接口標準和美國電工協會(EIA)制定的RS-232C接口標準中均採用雙極性信號。

