編碼原理
雙二進碼雙二進制編碼是上世紀六十年代由Lender提出。按照一定的規則將原來的二進制中邏輯信號“1”轉換為邏輯信號“+1”和“-1”,使信號的頻譜頻寬減為原來的一半。調製解調過程分為預編碼、編碼和解碼,如圖1所示。由於採用預編碼,所以在接收端只需一個模二運算器進行解碼。在調製過程中會產生“0”、“+1”、“-1”三種調製信號,“+1”、“-1”對應同一種邏輯碼。圖1
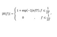
雙二進制編碼系統和普通二進制系統的根本差別在於它的傳輸特性是一個餘弦濾波器,而不是一個普通低通濾波器,其傳輸函式 為:
雙二進碼在編碼過程中,對輸人二進制序列d(k),雙二進制碼序列c(k)與原二進制碼d(k)的關係可以表達為:
c(k)= d(k)+ d(k- 1)
這意味著編碼後的值為三階數位訊號。新碼的當前值是原二進制碼的當前值與前一比特值之和,二階輸入信號(0,1)在編碼後變為(0,1,2)。
調製
雙二進制系統的編碼部分的餘弦濾波器可以用一個延遲相加器和一個理想低通濾波器來模擬,如圖2所示:
雙二進碼圖2
其可以表達為在原有二進制碼後緊跟一個有限脈衝回響FIR(Finite Impulse Response)濾波器 。該濾波器的強度譜為cos2(ωT/2),其中T為原信號的周期。由濾波器的強度可知,濾波後的信號在原信號頻率的一半處為0。
套用
在光纖通信中雙二進制有兩種套用形式 ,一種是採用三電平幅度調製,這種形式的雙二進制在接收機需要雙二進制解碼電路,與傳統二進制IM-DD系統相比,三電平判決會導致接收機靈敏度劣化;另一種是在光上使用二電平,使用M-Z調製器,採用幅度調製和相位調製(AM-PSK)相結合,與傳統二進制IM-DD系統的接收機兼容,不導致靈敏度劣化,只是將發射機電路作適當改變。
信號先編碼成電雙二進制信號再調製成光雙二進制信號。光雙二進制信號有兩個強度電平分別用“on”和“off”表示,“on”態有兩個相位“0”和“π”,分別對應電雙二進制信號的“1”和“- 1”,“off”態對應電雙二進制信號的“0”。根據雙二進制編碼規則,電雙二進制信號的“- 1”、“1”、“0”分別對應原始二進制信號的“ 0”、“ 1”、“ 0”,也就是說,光雙二進制信號的“on”態對應原始二進制信號的“0”,“off”態對應“1”。
雙二進制碼的有效頻寬是原二進制碼頻寬的一半,即該調製方法的光載波效率可以增加一倍。另一方面,因為色散對光信號的影響與光信號的頻寬成正比,新的光調製方法是普通二進制調製頻寬的一半,使得信號在傳輸中對色散的敏感程度也降低了一倍。
狹義光雙二進制調製
將預編碼後的兩路信號加到MZ調製器的雙臂上,從而產生雙二進制光信號。
延遲相加雙二進制調製
對預編碼後的二電平信號用延時相加得到三電平的信號,經驅動器電壓變換後,加至MZ調製器雙臂產生雙二進制光信號。
低通濾波雙二進制調製
利用低通濾波來產生三電平信號驅動MZ調製器產生雙二進制光信號。
利用EAM實現雙二進制調製
首先利用差分預編碼器對輸入數據進行編碼處理,然後經功分器將信號分為兩路相同的差分預編碼信號,其中一路經過反相和延遲1比特的處理。然後將兩路信號分別送入兩個單獨的EA調製器對經過光分路器處理的光載波進行光調製,產生兩路光信號。對進行過延時處理的光信號進行180°相位偏移處理,使兩路信號攜帶不同的相位信息。最後,兩路信號進行合路處理,得到光雙二進制調製信號。
採用雙二進制光調製,可以減少信號占有的頻寬,從而改進頻率的利用率。同時由於有效頻寬的減小,減小了光信號對光纖色散的敏感性,從而增大光信號在光纖中的傳輸距離。這項技術對於全光網路在城域網都會有很大的套用前景 。

