簡介
降採樣因子(常用表示符號為"M")一般是大於1的整數或有理數。這個因子表達採樣周期變成原來的M倍,或者等價表示採樣率變成原來的1/M倍。 採樣率的降低會造成頻譜的壓縮,因此需要利用濾波器確保在較低的採樣頻率下不發生混疊,確保奈奎式採樣定理依舊成立。
整數倍降採樣
降採樣整數M倍的過程可以被分解成兩個部分:
利用數位低通濾波器去除訊號中的高頻成分防止混疊。
對過濾高頻後的訊號降採樣M倍,換言之,保留原訊號中間隔為M的取樣點
1.利用數位低通濾波器去除訊號中的高頻成分防止混疊。
2.對過濾高頻後的訊號降採樣M倍,換言之,保留原訊號中間隔為M的取樣點
若僅少了第一個步驟,訊號的高頻成分會在降低採樣速率的過程中被混入低頻訊號中,這樣的失真效應我們稱為混疊,因此第一個步驟是為了降低混疊影響至可以接受的程度,降採樣中的濾波器稱為 反混疊濾波器,下面討論如何設計反混疊濾波器。
若用無限脈衝回響的方法設計反混疊濾波器,則濾波的過程需要在降低採樣速率前從輸出端回傳資訊到輸入端,若用有限脈衝回響的方法設計反混疊濾波器,濾波的過程較為簡單因為我們只需要考慮間隔為M的採樣點,濾波的過程表示成:
降採樣
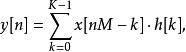
圖一序列h[·]是數位濾波器的脈衝回響、K是它的長度,序列x[·]為要被降採樣的原始訊號的取樣點,一般來說在算出y[n]後計算y[n+1]最簡單的方法是讓x[·]的索引增加M然後重新計算卷積,在大部分的情況下M=2,h[·]可以被設計成半頻帶濾波器,序列h[k]中將近一半的係數為0,因此卷積的計算過程會被大大簡化。
每隔M個取樣點取樣脈衝回響的係數成為一個次序列,總共有M個降採樣的脈衝回響次序列,內積的結果是每個次序列.跟對應的取樣點x[·] 內積的總和。 此外,由於採樣周期變成M倍,每個降採樣後的次序列會獨立在每個內積中,數列x[·] 的採樣點只會出一組內積之中而不會出在其他組的內積里,因此可以用M組有限長度頻率回響數位濾波器同時多工地算出M組內積,M組輸出值最後平行加總。這個觀點提供不同的硬體實作方法,很可能適合多處理器的架構。 換句話說,輸入的串流經過分工並送去M組濾波器並將輸出加總,上述的架構稱為多項位濾波器。
圖一: 3種不同的常見頻率單位下的降採樣頻譜效應比較。
反混疊濾波器
降採樣我們可以從圖一的三組波型中了解為何降採樣的過程需要反混疊濾波器,注意三組波型圖除了橫軸的單位不同以外其餘皆相同。 每一組波形圖的第一張圖是取樣訊號x(t),經過傅立葉轉換得到的周期性頻譜,X(f);第二章圖為取樣訊號x(t)以1/3倍採樣速率降取樣後經過傅立葉轉換得到的周期性頻譜。 對於這三組波型,混疊不發生的條件同為:T為採樣的時間間格,1/T為採樣速率,1/2T為奈奎氏取樣頻率,反混疊濾波器藉由設計截止頻率小於1/M倍的奈奎氏取樣頻率確保混疊不會發生。
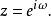
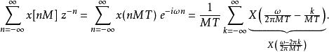
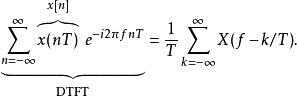
最上面那組圖片的上面那張圖的橫軸代表離散時間傅立葉轉換,也就是X(f)的傅立葉級數表示方式:
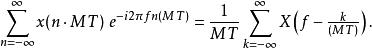
降採樣T的單位為秒,f的單位為赫茲。將MT取代公式中的T我們可以得到以1/M倍速率採樣後的數列的離散時間傅立葉轉換,x[nM]:
降採樣這個周期性的訊號以較低速率採樣過後,頻率跟振幅都被降低了1/M倍,如同圖一的第二張圖所示,當X(f)與附近的波型重疊,混疊將會發生,反混疊濾波器的目的就是在於確保降採樣後周期降低但不會發生波型重疊,也就是混疊。
降採樣
降採樣中間那組圖頻率f的單位改為標準化頻率,這時周期為1而0.5的位置對應到奈奎氏取樣頻率,一般反混疊濾波器的設計會以圖形的頻率單位為標準,因此截止頻率也要改由以標準化頻率作為單位,此時截止頻率被標準化為這個值的單位為(秒/取樣)*(周期數/秒)=周期數/取樣。
降採樣最下面那組圖形為原本數列以及以低速率取樣後數列的Z轉換,受到複數變數的限制,x[n]的數列的形式為傅立葉級數,與 1比較,我們推論:
降採樣這個方程式描述了圖一中第五張圖,同理,第六章圖為:
降採樣分數倍降採樣
令 M/L代表降採樣因子,M,L都是整數,M>L,分數倍降採樣可以被分解成兩個步驟
以L倍頻率升採樣
以1/M倍頻率降採樣
1.以L倍頻率升採樣
2.以1/M倍頻率降採樣
降採樣升採樣需要低通濾波器過濾資料數率增加的訊號,降採樣需要低通濾波器過濾輸入訊號,因此這兩個濾波過程可以被和而為一,藉由用單一個低通濾波器取代,此單一低通濾波器的截止頻率為兩者低通濾波器的低者。當M > L, 反混疊濾波器的截止頻率(周期數/取樣)會是較低的截止頻率。。
bit/樣本) × 2 (聲道))降低至705,600位元秒。

