概念
附合水準路線是測量學的術語。從某個已知高程的水準點出發,沿路線進行水準測量,最後連測到另一已知高程的水準點上,這樣的水準路線稱為附合水準路線。
閉合水準路線
由某一已知高程的水準點出發,沿路線進行水準測量,最後回到原來的水準點上,這樣的水準路線稱為閉合水準路線。
支水準路線
由某一水準點出發,經過若干站水準測量,既不附合到其他水準點上,也不閉合到原來的水準點上,這樣的水準路線稱為支水準路線。
附合水準路線的蟻群智慧型平差方法
附合水準路線是工程建設中水準控制測量的一種主要測量路線,在公路工程、土木建築工程、水利工程、電力工程及變形監測等工程建設項目中廣泛使用。附合水準路線測量的精度與工程建設的質量有著密切的關係,因此,對附合水準路線測量的誤差處理方法開展研究,具有重要的意義。為提高附合水準測量的精度,許多學者對附合水準測量的誤差處理方法開展了一系列的研究。張琦等人對附合的1條水準路線圖解平差方法研究發現,該方法作業步驟簡單,且能夠滿足三、四等水準測量的精度要求。王磊等人通過對間接平差模型的簡化,利用Matlab編制了附合水準網經典平差系統,並用假設檢驗理論檢驗系統的可靠性,通過實例驗證發現,該平差系統可以對一、二、三、四等及等外附合水準網開展經典平差計算。余章蓉等人對水準網間接平差方法進行改進,採用直接觀測信息構建方程的方法實現了間接平差,該方法實現程式編制簡單、快捷、高效,方便了大型水準網平差計算。
相比之下,水準網平差的人工智慧計算方面的研究甚少。吳良才等人把遺傳算法和神經網路技術結合在一起,用於GPS高程的轉換。通過實例計算,表明人工智慧算法用於GPS高程轉換的精度較高。作者擬建立附合水準路線的通用平差模型,研究建立蟻群智慧型水準平差方法。其目的在於改進平差手段,提高水準平差的精度。
平差模型的建立
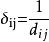
圖1 附合水準路線示意如圖1所示,假定待測點為1,2,…,i,…,j,從BMA 到BMB之間設定了n 個測段, 按照五等水準測量的方法施測,各測段的實測高差分別為h,h,…,h, 各測段的距離分別為L,L,…,L, 設各測段的高差真值分別為h',h',…,h', 設各測段的真誤差分別為Δ1,Δ2,…,Δn, 則
附合水準路線附合水準路線平差的蟻群算法
(1)蟻群算法
20世紀90年代,義大利學者Dorigo等人提出模擬蟻群覓食的蟻群算法。該算法的特點是:擁有強魯棒性、優良的分散式計算機制,且易與其他最佳化理論相結合。該方法已經被用於解決大多數的最佳化問題。其套用領域已逐步擴展到工程建設方面。
(2)蟻群搜尋方式設計
螞蟻i的搜尋方向與蟻群中其他螞蟻的位置的信息素以及距離有密切關係,信息素越大,且與當前螞蟻i的距離越小,被當前螞蟻選定為搜尋方向的機率也就越大,若螞蟻i與螞蟻j的距離為d,則
附合水準路線
附合水準路線設,則螞蟻i向螞蟻j方向移動方向移動的機率為:
附合水準路線研究結論
(1)通過對附合水準路線測量的誤差特點分析,建立了附合水準路線的誤差處理通用最佳化模型,便於電腦程式最佳化計算。
(2)提出了附合水準路線的蟻群智慧型平差方法,建立了附合水準路線平差的螞蟻搜尋方案和螞蟻的行進策略。採用保留策略,實現快速、高精度平差。
(3)通過實例計算可以發現,附合水準路線採用蟻群智慧型平差方法的精度明顯高於採用傳統經典平差方法的精度。
附合水準路線測量套用技術及精度分析
水準測量概述
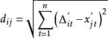
圖2 水準測量基本原理圖水準測量概述水準測量是工程測量中最基本的測量內容之一,其基本原理就是利用測量水準的儀器讀取所提供的在水準視線上豎立的兩點上的水準尺上的數字,以此來測定兩點之間的高度差,再通過已知點的高程計算所需點的高程。水準測量的基本原理圖如圖2所示。
由圖2可以看出,水準測量的前進方向是從A點到B點,將A點稱為後視水準點,與之對應的水準尺讀數a為後視點讀數;同理將B點稱為前視水準點,與之對應的水準尺讀數b為前視點讀數,求得A、B點的高差h可以根據式1可以求得,測得A、B兩點的高差以後,若知道A點的高程為HA,則可以通過式2求出B點的高程HB:
附合水準路線附合水準路線測設以及精度分析
圖3 附合水準路線布設圖水準路線布設主要有閉合水準路線、支水準路線以及附合水準路線三種布設方式。其中閉合水準路線是從某已知高程的水準點前進,從各個待測高程水準點進行量測,最後測量回到原有的該已知高程水準點形成閉合環形迴路的水準路線;對於高程點較少難以布設其他水準路線布設方法的地方,常常布設閉合水準路線。支水準路線是已知某高程的水準點,沿著各待測的觀測點前進測量,但是最後未連線到另一已知高程的水準點,因此為了能夠校核觀測成果的準確性,因此需要對支水準路線測量進行往返觀測,因此在等級水準路線的測設中較少採用支水準路線,但是在外水準測量時採用,可以直接測得碎部點的高程。附合水準路線測量就是從一個一隻高程點出發,沿著各待測的觀測點前進測量,最後連線到另一已知高程的水準點,由於附合水準路線的布設可以對所觀測的成果進行檢校,因此附合水準路線的布設是工程水準測量中最常用的一種布設方式,圖3為附合水準路線的布設方式圖。
在附合水準路線中,在路線中間設定的待測觀測點的精度最低。根據《國家三、四等水準測量規範》規定:單獨的四等水準附和路線,長度不超過80公里,環線周長不超過100公里,同級網中結點間距離不超過30公里。在結束附合水準路線的外業觀測以後,處理觀測數據.計算誤差是十分重要的。首先,應當繪製附合水準路線的大樣圖,然後就應該計算附合水準路線的高差閉合差,當閉合差的精度附和等級水準測量的要求以後,即可以分配閉合差,其分配的原則就是按與距離L或測站數n成正比,將高差閉合差反號分配到各段高差上。
研究結論
附合水準路線測量是最常用的一種工程水準測量路線布設方式,在實踐工程中,只有認真按照附合水準路線布設方式進行計算並在對應的精度下進行平差,才能夠讓所得到的待測點高程數據更加接近工程實際。

