化學名稱
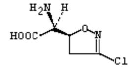
(αS,5S)-α-amino-3-chloro-2-isoxazoline-5-acetic acid
名稱來源
p-INNList-44,1980;r-INNList-21,1981;

阿西維辛(acivicin)是一種套用於抗腫瘤藥的化學物質,分子式為C5H7ClN2O3。
(αS,5S)-α-amino-3-chloro-2-isoxazoline-5-acetic acid
p-INNList-44,1980;r-INNList-21,1981;
阿布辛拜勒是古埃及規模最大的岩窟廟建築,位於埃及最南端的亞斯文。為第19王朝法老拉美西斯二世(約前1304~前1237在位)所建。共有大小兩座,全部在尼...
簡介 地理概述 歷史淵源 建築特點 重要景點列夫·雅辛(英文:Lev Ivanovich Yashin,俄語:Лев Ива́нович Я́шин,簡稱Lev Yashin),(1929年10月...
個人簡介 成長經歷 職業生涯 榮譽獎項 評論庫阿西·熱爾維尼奧(Kouassi Gervinho),1987年05月27日出生在象牙海岸阿尼亞馬,象牙海岸足球運動員,司職翼鋒及前鋒,現效力於意甲帕...
早年經歷 運動生涯 技術特點 生涯數據 參加大賽維拉斯·博阿斯,葡萄牙人,17歲時就開始擔任足球教練。曾執教葡萄牙波爾圖足球俱樂部。2011年5月,他率領波爾圖1:0力克黑馬球隊布拉加,捧起歐洲聯盟杯...
個人簡介 早年經歷 職業生涯 教練生涯 個人逸聞2-0 0-1 0-2
球隊資料 球隊賽事辛西婭·尼克森(Cynthia Nixon)1966年4月9日出生於紐約,美國影視演員。1980年,辛西婭·尼克森憑藉青春片《小可愛》步入影壇 。199...
人物經歷 個人生活 主要作品 社會活動 獲獎記錄維拉斯·博阿斯,葡萄牙人,17歲時就開始擔任足球教練。曾執教葡萄牙波爾圖足球俱樂部。2011年5月,他率領波爾圖1:0力克黑馬球隊布拉加,捧起歐洲聯盟杯...
個人簡介 早年經歷 職業生涯 教練生涯 個人逸聞維拉斯·博阿斯,葡萄牙人,17歲時就開始擔任足球教練。曾執教葡萄牙波爾圖足球俱樂部。2011年5月,他率領波爾圖1:0力克黑馬球隊布拉加,捧起歐洲聯盟杯...
早年經歷 運動生涯 個人逸聞 圓夢拉力賽 生涯數據艾薩克·巴什維斯·辛格(Issac Bashevis Singer,1904—1991), 美國猶太作家,被稱為20世紀“短篇小說大師”。於1978年獲...
個人生活 文學之路 主要作品 創作特點 人物影響