關鍵工作
在網路計畫中,總時差最小的工作稱為關鍵工作 。當網路計畫的計畫工期與計算工期相同時,總時差為零的工作為關鍵工作 。
在網路計畫的實施過程中,關鍵工作的實際進度提前或拖後,均會對總工期產生影響。因此,關鍵工作的實際進度是工程進度控制工作的重點。
簡介
關鍵線路也稱關鍵路徑 。網路計畫中,自始至終全部由關鍵工作組成的線路或線路上總的工作持續時間(總工期)最長的路線叫作關鍵線路 。
一個項目中,可能有多於一條的關鍵線路,網路圖上的關鍵線路可用雙線或粗線標註。
關鍵線路的確定
當計算出網路計畫的時間參數後,該網路計畫的關鍵線路就十分容易確定,確定方法有如下幾種:
1)從網路圖起點開始到終點為止,工期最長的路線即為關鍵線路;
2)將網路圖起點開始到終點工作總時差為0或為最小值的關鍵工作串聯起來,即為關鍵線路;
3)將時差為最小值的節點串聯起來,即為關鍵線路。
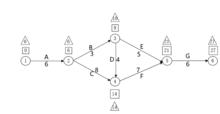
例如,一個項目的完成由如下的工作組成,其關係如下表所示
| 工作名稱 | A | B | C | D | E | F | G |
| 緊前工作 | A | A | B | B | CD | EF | |
| 時間/周 | 6 | 3 | 8 | 4 | 5 | 7 | 6 |
①繪製出該項目的網路圖,如概述圖所示(圖中為雙代號網路圖)
對於簡單的網路圖,直接可以從網路圖中看出工期最長的路線(利用上面的第一種方法)。
對於複雜的網路圖,需要計算各工作總時差(工作最遲開始時間與最早開始時間之差)或各節點的時差(節點最遲時間與最早時間之差)來得到關鍵線路,即利用上面的第二和第三種方法,具體見下面的步驟②-⑤。
②計算每一個節點的最早時間,並將該時間填於黑色的“口”中標於圓圈旁,如下圖1所示
圖1 每一個節點最早時間③計算每一個節點的最遲時間,並將該時間填於黑色的“△”中標於圓圈旁,如下圖2所示
圖2 每一個節點最遲時間④計算每一項工作的最早開始時間ES和最早結束時間EF,並將該時間填於紅色的“口”中標於圓圈旁,如下圖3所示
圖3 每一項工作的ES和EF⑤計算每一項工作的最遲開始時間LS和最遲結束時間LF,並將該時間填於紅色的“△”中標於圓圈旁,如下圖4所示
圖4 每一項工作的LS和LF⑥從上面的步驟②和③中可以看出節點①、②、④、⑤和⑥的時差最小且為0,即關鍵線路為
關鍵線路⑦從上面的步驟④和⑤中可以看出工作A、C、F和G的總時差最小且為0,即關鍵線路為
關鍵線路主要用途
制定計畫、監控進度,例如制定新產品開發的推行計畫及監控其進度、制定產品的改良計畫及監控其進度等。

