在圖象處理中,經常要進行閾值的選取,在單獨求閾值時, 很多程式都是用C++ 來實現的, 而用MATLAB的卻很少, 一般都是什麼直方圖之類的
二維指數熵圖像閾值選取方法及其快速算法
④確定f的每個象素對應的閾值;
⑤根據求出的閾值輸出二值圖象g。
原圖中可能含有噪聲,在處理前要進行去噪,可採用均值濾波器或中值濾波器,或者選擇更為複雜一些的如自適應濾波方法。在第①步採用Sobel運算元進行邊緣提取:
|f(i-1,j-1)+2f(i-1,j)+f(i-1,j+1)-[f(i+1,j-1)+2f(i+1,j)+f(i+1,j+1)]|+
|f(i-1,j-1)+2f(i,j-1)+f(i+1,j-1)-[f(i-1,j+1)+2f(i,j+1)+f(i+1,j+1)]|
第②步是對邊緣特徵圖象進行常規二值化,以確定哪些象素點是邊緣象素點。這是可採用平均灰度值或最大熵法等方法。第④步是算法的關鍵,根據第②步的結果進行二值化閾值的自動選擇,在邊緣象素點進行局部閾值計算。算法具體實現如下:
for(i=1;i
{for(j=1;j
if b(i,j)=1 //若是邊緣象素點。A=與求e(i,j)相關的象素點的平均灰度值
閾值選擇{ A=(f(i-1,j-1)+f(i,j-1)+f(i+1,j-1)+f(i-1,j)+f(i,j)+f(i+1,j)+f(i-1,j+1)+f(i,j+1)+f(i+1,j+1))/9; //將每個與求e(I,j)相關的象素f(u,v)的熵值賦給A
Th(i-1,j-1)=A;Th(i,j-1)=A;Th(I+1,j-1)=A;Th(i-1,j)=A;Th(i,j)=A;Th(I+1,j)=A;Th(i-1,j+1)=A;Th(i,j+1)=A;Th(I+1,j+1)=A;}
Else //非邊緣點的閾值為Th0
Th(i,j)=Th0;}
第⑤步根據計算處的閾值對f進行二值化處理,即刻得到輸出圖象g。
3 實驗結果比較
上節提出了把圖象邊緣特徵與其他閾值選取結合起來的算法。圖1~4是用該算法和其他幾種自動選取閾值二值化方法對同一幅圖形進行處理比較的結果。
二維shannon信息熵法是圖像閾值分割中常用的經典算法,但存在著不足。為此,提出了一種二維指數信息熵閾值選取方法,克服了對數熵的不足,將對數改為指數,提高了速度。同時給出了一種二維指數熵閾值選取的快速算法,通過改變二維直方圖的區域劃分,將二維閾值轉換為一維,運行時間不到原算法的1%。實驗結果表明,該算法能快速準確地實現圖像分割。
閾值選取是圖象處理與 分析 的基礎。針對幾種常用的圖象二值化自動選取閾值 方法 ,通過 計算 機仿真對實驗結果進行了比較 研究 。在此基礎上,提出了一種新的圖象二值化算法。該算法著重於在圖象二值化時保留圖象的邊緣特徵。實驗結果表明,這個基於邊緣特徵檢測運算元的算法能很好地保留原圖的邊緣特徵,並能處理低質量的圖象。
圖象分割是圖象分子合處理的重要手段,其目的是從圖象中把目標區域和背景區域分開。圖象分割有很多方法,其中最為簡單和有效的是閾值處理。通過選擇一個或幾個合適的灰度閾值,原圖中的目標和背景就很容易被分開。如何選取閾值能達到有效的分割效果,是閾值處理的關鍵。
1 幾種典型算法
1.1平均灰度值法
該方法以圖象中的所有象素的灰度值的平均值為閾值。閾值可由下面的公式計算得到:
其中,N為象素總數,L為最大灰度級,f(i,j)為點處的灰度值。
該方法計算簡單,對哪些對比度強的圖象非常有效,但對哪些對比度較低的圖象則效果較差。
1.2類別方差法
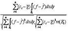
對一幅圖象,根據一個門限可將其劃分為前景和背景兩類,選取不同的門限可以得到不同的類別分離性能,類別方差反映了類別劃分的性能。類別方差自動門限法就是利用類別方差作為判斷依據,選取使得 類間方差最大和類內方差最小的門限作為最佳閾值。
設圖象中的灰度範圍是G={0,1,2,…,L-1},選擇門限t將其劃分為兩類:
閾值選擇1.3最大熵法
因為熵屬於一種均勻度量,均勻性用熵來度量3時,則可以導出最大熵閾值法:設t為閾值,目標灰度分布為p0/Pt,p1/Pt,…,pt/Pt,其中, 。
同樣,背景灰度分布為pt+1/(1-Pt),…,pL-1/(1-Pt),
目標部分熵為
背景部分熵為 ,直方圖的熵為E(t)=E1(t)+E2(t)
E(t)最大即意味著目標區域和背景區域內各自的灰度分布具有最大的同一性,同時t代表分割兩區域的閾值。
該方法由於涉及對數運算,運算速度較慢,但對不同目標大小和信噪比的圖象能產生較好的分割效果。
閾值選擇以上幾種算法都沒有考慮在二值化過程中保留原有圖象的特徵。
2 基於邊緣特徵的二值化方法
邊緣特徵在文字識別、指紋識別等 套用 中是非常重要的特徵,是識別成功與否的關鍵。因此,在這些套用中的二值化預處理過程中,我們希望能較好地保留原有圖象的邊緣特徵,並不增加新的邊緣特徵。算法思想的關鍵:首先,用微分運算元檢測圖象的邊緣;然後,在這些邊緣象素點上進行二值化閾值的自動選取;最後,對於其他非邊緣象素點則採取常規方法進行二值化處理。該算法描述如下://f為去噪後的輸入圖象,g為二值化後的圖象
①對f進行抽取邊緣特徵,得到邊緣圖象e;
②對e進行常規二值化處理,得到二值圖象b;
③用整體閾值法確定一個f的整體閾值;
